用户名: 密码: 验证码: 点击更换验证码 纺机网用户注册 找回密码 无锡站   CITME+ITMA   cantontex   shtex    纺机搜索   工博网
纺机网LOGO

纺织机械门户

无梭织机 | 染整机械 | 棉纺机械
 您当前的位置:首页 >> 纺机导购 >> 染整机械 >> 浸轧机 >> 轧水机
  轧水机  
 
概述 轧压压力 轧辊的结构与材料 轧余率的影响 几种常用轧水设备
 
轧压压力:

轧水机的总压力是指轧水机通过加压机构对轧辊施加的全部压力。在机台和加工织物相同的条件下,总压力在很大程度上直接影响轧余率。
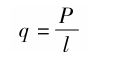
轧辊轧点处单位长度上所受的压力,称为线压力。它与总压力的关系为:

式中:q——线压力,N/cm;
      P——总压力,N;
      l——轧辊轧点的有效长度,cm。
    显然,当总压力不变时,线压力与轧辊的工作幅度成反比。如果保持线压力不变,总压力将随工作幅度的增加而增加。
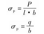
轧辊轧点处单位面积上的压力,称为轧点压强。它与总压力和线压力的关系为:

式中:σp——平均轧点压强,kPa。
          b——轧点的接触宽度(常用压痕法测量),mm。
总压力与轧点宽度的关系如图3—9所示。

 

对于不同轧车和不同硬度的橡胶轧辊(见下页表),其线压力和轧点压强之间的关系如图3—10所示。随着线压力的增加,轧点压强都有不同程度地提高。

 

线压力和轧点压强对轧余率的影响,从对不吸水、不膨化的玻璃纤维的浸轧脱水试验得出:线压力与轧余率呈曲线关系,轧点平均压强与轧余率呈线性关系,如图3—11所示。

 

 

 
 
 
相关链接
 
 
 
 
 
 
东莞市东铭仪器有限公司
 


 
纺纱机械 开清棉 梳棉机 精梳机 并条机 粗纱机 细纱机 纺纱机 络并捻 织造机械 剑杆织机 喷气织机 整经机 浆纱机 提花机 织带机 化纤机械 化纤成套设备 化纤通用设备 针织机械 圆纬机 横机 经编机 袜机 手套机 钩编机 非织造机械 成网机械 非织造布单机设备 非织造布生产线 纺织器材 钢领 锭子 罗拉 摇架 上销 锡林 钢筘 针布 橡胶
染整机械 染色机 印花机 蒸箱 轧车 烘燥机 印染后整理 联合机 验布机 纺机自动化 变频器 传感器 继电器 纺织仪器 纺织配件 纺纱配件 无梭织机配件 针织配件 印染配件
关于TTMN | 营销服务 | 加入TTMN | 企业建站 | 本站声明 | 关于支付 | 联系我们 | 网站地图 | 友情链接 | TTMN刊物 | 行业看TTMN
服务热线:027-8787 4011 服务传真:027-8725 5755 工博网
24小时客服:189 7135 6279 QQ:3186169641
邮 箱:ttmn@ttmn.com 版 权:Copyright (c) 2017  纺机网 WWW.TTMN.COM