所有新闻
百度 谷歌 雅虎 必应 搜狗 搜搜
公司 产品 导购 样本 名片 视频 图片 新闻 技术 黄页
无锡锡荣纺织机械有限公司 陈中立 (专业工程师)
钢领钢丝圈配套知识简介
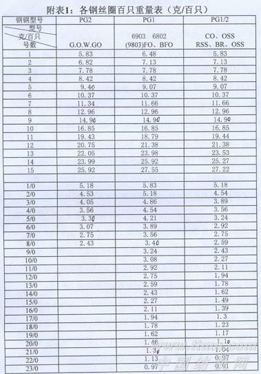
一、一般传统配套,使用钢领品种粗支纱采用PG2钢领,中支纱采用PG1,钢领,细支纱采用PG1/2钢领,钢领的内径,细纱纺纱时断头越少,毛羽也越少、但卷装也越小,每落纱时间也越少,劳动力就越多,所以各厂均根据二者兼顾的原则一般粗支采用45X54、42X 54,中支选用42X54,细支纱选用38X54,甚至35X54,直纺纡纱均选用35X54(因细纱用纬纱管纺纱,直接放入木梭内织布的) 二、粗支纱一般是指6s~18s(即公制97—32号)中支纱一般是指20s~36s(即公制29~16号)细支纱指的是40s~80s(即公制15~7.3号)一般80s以上称特细支纱以用PG1/2钢领配新oss钢丝圈为多数。 三、随着纺织技术的不断发展探索,现在也有PG1纺粗织纱和细支纱的,主要原因如下: (1)PGl是高速钢领,配套相应钢丝圈后纺粗支纱,运转性能平稳,除纱线通道欠小外,车速、断头均比用PG2(普通钢领)纺纱要好些,特别是16s~18s等。较细的粗支纱上采用PGl钢领较多。 (2)PG,钢领由于内跑道面积、形状比PG1/2耐磨,不易衰衰退,使用寿命较长,以前用它纺细支纱无相应的钢丝圈相配合,自从无锡纺器推出了9803(原6903小圈形)后(自9803 13/0—18/0)从此在江苏、上海等地用PGl配9803纺细支(40s—80s )采用的厂家越来越多,优点是纲领使用寿命长,纺纱毛羽较少,便于中,细支之间品种反改可不调或少调钢领。四、一般配钢丝圈是按下列原则相配的: (1)、PG2钢领纺粗支纱时,可配用G型,O型,G0型或W型钢丝圈其中纺棉时配G型据多。O型为通道大,但重心最高不宜高速,w型重心较低,但通道较小,拎头较重,较粗的粗纱不宜(要当心缠绕小直径时纱条被钢丝圈磨损位置割断或刮细、刮毛)GO型 (2)PGl钢领(原名JG4、6603)纺纱时可配6903、6802、FO钢丝圈纺中支纱,其中6802通道较宽畅,FO重心低,运转平稳可适应高速,但拎头较重,6903、由于背上开了一个天窗,通道宽敞且重 (3))PGl钢领纺细支纱时一般可配用9803、13/0~18/0,具体重量号可按原来纺细支时用PGm钢领配用OSS或Rss时的钢丝圈号数(如9/0)的实际百只克重数(如2.43克/百只)对应至9803、2.43克/百只为14/0,见各种钢丝圈百只克重表(附表一)选取。 五、当用PGl钢领纺制化纤品种或化纤与棉的混纺品种,由于化:纤熔点较低,新钢丝圈上车时在走熟期内发热量较大,温升较多,容易造成较多的熔断头(特别是车速较高,圈装较大时)最好采用薄弓形或瓦棱形截面的钢丝圈(如BFO、BU、BK、FU、GO、B6802、BS0等)同时在纺制混纺纱时需按化纤的比例加重钢丝圈重量与纯棉相比较,每加 20%化纤则加重1挡钢丝圈重量。如T/C(65/35)45s就比纺纯棉45s 、配用用6903、10/0,加三挡后用6903、7/0钢丝圈。 纯化纤比纯棉加重5档。如T45s纯绦需用6903、5/0钢丝圈等(或用BF05/0)六、当用PG1/2钢领纺细中支纱时(30s~40s)也可配用cO钢丝圈,比配用Oss通道宽畅,拎头轻且重心低适应高速平稳,采用厂家亦较多。
无锡二橡胶股份有限公司
面向顾客,持续改进,实施品牌战略,必须是
网址:http://www.wxrb2.com
常州市润源经编机械有限公司
经编未来 无限可能
网址:http://www.run-yuan.com/
青岛云龙纺织机械有限公司
云展云舒,龙行天下 并人间品质,梳天下纤维
网址:http://www.yunlongfj.cn/
黄石经纬纺织机械有限公司
印染机械 首选黄石经纬 印花机 丝光机 蒸化机
网址:http://www.hsjwfj.com/
解决技术难题、提升产品稳定性,宜昌经纬纺机QC小组喜获优秀奖! 青岛宏大与许昌裕丰成功签订8.4万锭托盘式自动络筒机,携手挺进新疆 我国面料对东盟北美出口均有所增长 整个纺织服装行业发展的主要趋势与重要方向 立达最新纺纱箱S35有效节约原料
重庆金猫携多种新产品参加本届ITMA亚洲展 业务量同比增长超70%,经纬榆次逆势而上靠什么? 壕砸1.3亿收购美国一家大公司,已购的徳司达年狂赚1亿美元,浙江龙盛真牛! 管理创新是纺织行业提质增效的必由之路 中棉行协赴武汉调研,当地纺企大佬齐“上诉”!棉花“抛储”是焦点!
震惊!曾投资百亿上演“空城计”、今半年产值4个亿!咸阳纺织业强势回归,“梦桃精神”永存! 沭阳县纺织产业“织”出“强县富民”产业链 咸阳纺织业回来了 产业用纺织品行业年中报告:保持增长效益持续改善 纺机人,生意再难做,深耕自己的行业也比转行靠谱!