纺机网技术中心

您所在的位置:纺机网>>纺织工业技术中心>>纺织学院技术列表
纺织学院技术列表

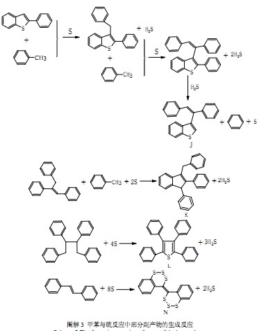
硫存在下甲苯的脱氢偶联反应

摘要:本研究选取甲苯作为反应物,研究其在硫存在下的脱氢偶联反应。反应在250℃、275℃和300℃下进行,甲苯的转化率最高可达到80.0%。反应的主要偶联产物有两种:1,2-二苯乙烷和反-1,2-二苯乙烯。GC-MS可检

衣服沾上污渍的清除方法

1、洗衣服上的红墨水渍:新渍先用冷水洗,再用温肥皂液浸泡一会儿,再用清水漂洗;陈渍可先用洗涤剂洗,再用10%的酒精 溶液搓擦即可祛除。 2、墨渍:可用饭粒和洗涤剂调匀,涂在污渍部分搓擦,再用清水漂洗

丝绸衣服用中性染料印花有何优点、有何缺点、如何操作

答:丝绸衣服一般耐水洗牢度不很理想,如用中性染料印花就有较好的牢度,缺点是有些中性染料的色泽不够鲜艳。 参考工艺流程: 印花→汽蒸(102℃,40min)→水洗→整理 色浆组成(供参考

2010年我国纺织各行业发展前景展望

开发高质量高附加值产品   中国棉纺织行业协会会长徐文英:目前,“坚持科技领先,转变发展思路,变粗放的数量型为质量效益型发展方式,减量升级、淘汰落后,提升存量水平以应对国际金融危机&rd

开清棉机械的作用与工艺流程

开清棉机械的作用与工艺流程 一、开清棉机械的任务   开清棉是纺纱工艺的第一道工序,由不同类型开清棉机组成的联合机完成下列任务:   ①将紧压的原棉开松成约0.1mg的棉束;   ②清除混在原棉中的杂技和棉结,除

亚麻/棉转杯纺纱工艺实践

转杯纺与环锭纺相比具有工序短、生产率和效益高、可以改善生产环境、有利于实现连续化、自动化等诸多优点,特别在粗号纱生产方面有明显的经济效益。   随着天然纤维热的兴起,亚麻类织物以其优良的吸湿性、散热

针织毛衫缝合工艺流程简介

羊毛衫缝合工艺应根据其缝合要求及所具有的缝合设备来确定。   缝合要求与产品的原料、组织结构、衣坯密度、服装款式造型及颜色等因素有关,而且各部位要求有所不同,因此缝合工艺过程比较长,用到的设备也比较多,如V领男开衫一般

验布工操作规程及技术质量要求

验布工操作规程及技术质量要求 1、检查机台设备运转及灯光是否正常。并做好验布前的各项准备工作。 2、根据计划核对坯布的颜色、幅宽是否正确,不混缸、不混码。 3、开机时坯布应平整的放在验布机上

功能性纺织品待挖的金矿

功能性纺织品在纺织产业中一直保持上扬势头的一个分支。在我国近十年的发展中,中国面料的品种、品质、档次均发生了翻天覆地的变化,一批批新型面料不断涌现,有些常规面料的品质与质量接近甚至已领先于世界先进水平。而新型面料生产的一

具有防红外性能还原染料的探讨

摘要:通过染色织物的近红外反射光谱分析其反射率曲线,筛选具有防红外性能的染料;分析该类染料的结构特点;初步测试影响棉织物染色的因素。 由于红外技术的发展.掌握红外探测优势的一方具有单向透明的优点.使

pH值对零价铁还原地下水中硝基苯的影响

摘要:通过批次实验,研究了不同pH值对零价铁还原模拟地下水中硝基苯的影响。结果表明:零价铁通过还原反应可有效降解地下水中的硝基苯,在控制pH值为3-12的硝基苯还原降解试验中,反应的最佳pH值为3;随着反应的进行pH值呈

2010—2011中国印染行业发展报告

摘 要:2010年我国印染行业经济运行从应对危机的特殊状态基本回归正常增长轨道,结构调整和发展方式转变取得积极进展,节能减排扎实推进,淘汰落后产能效果显著。2011年,受全球经济增速放缓的影响,外需存

2009/2010中国印染行业发展报告

摘 要:在中央出台的刺激经济增长的一揽子计划和行业自身调整的驱动下,2009年我国印染行业经济运行扭转了增速大幅下滑的局面,产销增速稳步回升,企业效益状况明显改善。出口方面恢复缓慢,出口价格持续下跌;节能减排取得了显著效
关于纺织机械 | 网络推广 | 栏目导航 | 客户案例 | 影视服务 | 纺机E周刊 | 广告之窗 | 网站地图 | 友情链接 | 本站声明 |

服务热线:027-8787 4011  服务传真:027-8725 5755

24小时客服:180 8600 9449 189 7135 6279  QQ:3352234307 3186169641

邮 箱:ttmn@ttmn.com 版 权:Copyright © 2017 纺织机械 WWW.TTMN.COM

工博网 经营许可 武汉网监局 不良信息举报中心