复级裂解处理的滤池填料生物反应动力学
生物滤池基质降解机理与活性污泥法基本相同,生物滤池是一种推流式的反应器,BOD5降解符合一级反应动力学特征。
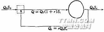
6-14生物滤池基本流程图
Si——进入滤池中混含液的BOD5浓度。无回流时,Si=S0;Se——滤池出水BOD5浓度;S0——原废水BOD5浓度;K——去除率常数;t——废水在滤池中反应时间。
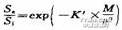
M-一滤床的深度,m;q——滤床的面积水力负荷,m3/m2·h;C和n——常数。滤池基本数学模式:
式中 K′——与基质降解性能有关的常数(纺织厂废水K′=0.016~0.040,医药废水0.020)K'=KC。n和K′的确定根据生物滤池试验数据,利用图解法求得n和K′值。
图6-15
对不同的水力负荷q和池深M,有对应不同q值。
相关信息 







推荐企业
推荐企业
推荐企业