纤维在牵伸区中的运动分析
一、牵伸区内纤维分类
1、控制纤维--受前罗拉或后罗拉握持的纤维。
2、浮游纤维--未被前罗拉或后罗拉握持的纤维。
3、前纤维--被前罗拉握持的纤维。
4、后纤维--被后罗拉握持的纤维。
5、快速纤维--以前罗拉速度运动的纤维。
6、慢速纤维--以后罗拉速度运动的纤维。
二、控制力和引导力
(一)纤维受力
1.引导力FA
以前罗拉速度运动的快速纤维作用于浮游纤维上的力--引导力。
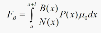
X-X截面处:
A(x)—与某根纤维接触的快速纤维量
B(x)—与某根纤维接触的慢速纤维量。
N(x)=A(x)+B(x)总纤维数。
P(x)压应力
快速纤维与该纤维的接触几率为:A(x)/N(x)
慢速纤维与该纤维的接触几率为:B(x)/N(x)
引导力
μv是动摩擦系数,l为纤维长度,μ0是静摩擦系数。
a----纤维后端离罗拉钳口的距离。
作用在整根纤维上的引导力:
2、控制力FB
以后罗拉速度运动的慢速纤维对浮游纤维的作用力,作用在整根纤维上的控制力
FB>FA浮游纤维仍然保持慢速。
FA>FB浮游纤维将变速。
(二)影响FA的主要因素FB
1、纤维数量分布
(1)靠近前钳口附近,A(x)>B(x)
(2)靠近后钳口附近,B(x)>A(x)
2、摩擦力界强度分布P(x)
3、纤维的性能
一般长纤维头端靠近前钳口时才变速,短纤维变速比长纤维早。
三、纤维变速点分布与纱条不匀
(一)理想情况下牵伸(纤维变速)及纱条不匀
1、假设条件
(1)纤维都是平行伸直的;
(2)都是等长的;
(3)每根纤维都是头端到达前钳口才变速经牵伸
2、结论
(1)经理想牵伸后,须条中纤维之间的头端移距增大到原来的E倍,纱条截面内的纤维根数减少E倍。
(2)纱条经过牵伸后,仍然能够保持牵伸前所具有的结构。
(3)纱条的不匀率没有因牵伸而增加而是不匀率
的波长增大了E倍。
推广:若纤维同在牵伸区中的某一位置(不一定在
钳口)变速不产生新的不匀。
(二)实际情况下(牵伸)变速点分布与纱条不匀
(1)若A纤维变速点在X1-X2处,B纤维变速点在X2-X2处
牵伸后,A、B两纤维头端移距为
(2)如A在X2-X1处,B在X1-X1处变速,牵伸后,A、B两纤维头端移距为
综合:
x-开始变速的位置偏差
α=x(E-1)---移距偏差
相关信息 







推荐企业
推荐企业
推荐企业