热定形中的热传递
根据热传导、对流、辐射原理,假捻变形加工采用了几种加热器。其中传导型加热器用的最多,不过,对流型高温加热器近来也变得越来越重要。
纱线与加热器的接触时间取决于纱线速度和加热器的长度,一般在0.2~0.5s的范围内变化。在这么短的时间内,纱线温度必须升高至200℃左右。纱线与加热器接触的同时,由于加捻而高速回转。此外,除了与加热器接触加热,纱线也受周围表面的热辐射作用以及加热器表面的热空气的加热作用。由于以上热作用,纱线四周受热均匀。
Egambarm、Afify和ELShiekh从事假捻变形加工的热传递研究[39]。根据牛顿定律,纱线表面温度的升高速率与加热器温度Th和纱线表面温度Ts之间的温差成正比。因此有:
其中s是比例常数。当初始条件为t=0,Ts=TR时,以上方程变为:
上式为纱线表面温度的表达式,比例常数s取决于纤维种类和纱线线密度。s值越大,纱线温度升高越快。
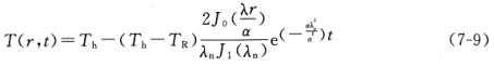
纱线在加热区内加热时,热流从纱线表面流向纱线中心,因此,在纱线表面和中心之间存在温度梯度。根据热传递基本原理,将高捻纱视为实心杆(见图7—24);并作进一步简化,可得到以下式子:
式中:α为热扩散系数;J0,J1为贝塞尔函数。
根据以上式子,可计算出沿纱线断面的温度。在常规假捻变形加工速度范围和纱线线密度范围内发现,纱线沿其断面的温度差异较小。
图7—25和7—26给出了Egambarm等人[39]根据上式计算得到的温度和实测温度。
Coll—Tortosa[40]和Moussa[41]证实了,即使在接触式加热器中,热量也主要通过对流方式传递。因此,纱线在加热过程中的旋转很重要。这意味着热传递过程在很大程度上受到纱线和加热器之间温差的影响。
Callhoff等人[42]报道了新型冷却材料的热传递模型。通过使用金属材料或陶瓷材料,对假捻变形加工过程建立新模型并进行测试。德国FurTextiltechnik研究院对新的丝路进行了试捻。使用高传导系数的陶瓷材料,纱线和冷却管表面间的热传递最大。
相关信息 







推荐企业
推荐企业
推荐企业