浆槽的结构和作用
一、浆槽的构造和浆液循环加热
浆槽为贮存浆液并进行上浆运作的部分。新型浆纱机的浆槽大体如图3—1所示,其盛浆部分为不锈钢板制造的中空夹层容器。其前后部分深度不同,分别为主浆槽和预热器。支撑在整块厚钢板(厚30mm)制成的左右墙板和槽钢横撑构成的机架上。
墙板与主浆槽之间,左右两侧均留有一定空隙,用于安装压浆辊、浸没辊等部件的加压汽缸和杠杆装置。墙板外侧又加装柜式罩壳。从纱片行进方向看,墙板左侧为控制柜,安装蒸汽管路、气动和电气装置。右侧为传动柜,安装传动装置。
1.祖克浆纱机
图3—2为祖克浆纱机SD—c型浆槽,其主体部分在前方,是执行上浆的部位。后方作为输入浆液,进行预热和浆液循环之用,故称为预热器或循环浆箱。但两部分实际连为一体,中间仅用摇动活板3隔开。摇动活板按其功能称为溢流板,其摇动装置如图3—3所示。溢流板4借橡胶板5作铰链,安装在主浆槽底板后沿。其上部连接着连杆6、支杆7、支轴8。支轴8上又装有转动杆9。当转动手轮ll时,螺杆10即令转动杆转动,通过支轴、支杆、连杆使溢流板4摇动。支轴上安装的指针12即在刻度板13上指示主浆槽浆液面的高度,最大值为150mm,相当于200mm幅宽浆纱机的浆槽最大容积为150L。
从图3—2看,由调浆桶送出的浆液经输浆管5和电磁阀6流入预热器,再从预热器下部经输浆横管9由循环输浆泵11抽吸,从输浆竖管12进入主浆槽1的前部。当浆液盛满时,即经后方溢流板上沿呈瀑布状流回到预热器2,完成浆液循环。主浆槽平底从前到后向下倾斜约35mm,也有助于浆液流泻和清洁。由于纱片经过浆槽上浆会带走一部分浆液,所以回流到预热器的浆液必定少于预热器送出的浆液量。这时安装在预热器中的浮球就会随着液面下降。浮球杠杆的支轴转动通过预热器外的电器盒,操纵限位开
保持浆液循环的主要装置是循环输浆泵。祖克浆纱机配置的高效浆泵如图3—4所示,由一对特殊形状的叶轮组成,两片相位错开90°排列,用一对正齿轮传动。动力来自于专用电动机,1.1kw,转速1300r/min,配有减速器,使浆泵主轴速度能达到193r/min。循环浆泵能够确保输浆量较耗浆量高出30%以上。
还应指出,在SD—C浆槽中浆液流动的方向向后,而纱片运行方向向前,这种逆向运行的相互作用对浆液向纱线浸润和贴服毛羽也比较有益。
浆槽中浆液由蒸汽加热,如图3—5所示,包括两个系统。
(1)直接加热。从车间蒸汽分配器(分汽缸)接入的蒸汽(压力为O.05~0.35MPa),经进汽手动阀4和气动控制阀6后,再经主浆槽和预热器直接加热的手动阀7和8,直接通入主浆槽1和预热器2,由鱼鳞管的小孔喷射到浆液中加热。
在浆槽底部中心插入PT—lOO型温度传感器13,检测浆液温度的电信号传递至车前计算机,与设定温度比较运算,由PLC控制气电转换器、气动控制阀6,调整进汽量,使浆液温度达到标准。
(2)间接加热。图3—5中,经间接加热的手动阀9和水浴间接加热温控器12,蒸汽进入预热器夹层内,通过水浴作用加热预热器和主浆槽中的浆液。间接加热温度不能太高,否则将会在浆槽壁上造成结浆皮,既影响夹层导热,又会产生浆斑。适宜的夹层水温约为80℃,可保持浆液温度70℃。
如图3—6所示的温控装置,实际上是一种恒温断流装置,通常校正在数字3所标的位置,当其连接的温度传感器检测值高于80℃,即终止蒸汽继续通入。图3—7所示为间接加热凝结水管连接情况,夹层蒸汽加热的凝结水通向U形排水管2,温度传感器3即
2.贝林格浆纱机
图3—8为贝林格浆纱机TKD型浆槽。主浆槽位于前方,预热器在后方,两者连成一体,不锈钢板夹层结构。浆液首先输入预热器2,经输浆横管3,循环浆泵4,输浆竖管5,从主浆槽前壁输入,在前高后低的平底浆槽中与上浆纱线运行方向相反,到可调高度的摇动后壁溢流,呈瀑布状回流到预热器中,不断地补充浆液,不停地进行循环。主浆槽容积150L。
图3—9所示贝林格TKD浆槽也有蒸汽直接加热和间接加热两个管路系统,直接加热由直接加热装置的气动隔膜阀自动控温。间接加热可采用自动控制,也可以手动调节。为了保证夹壁蒸汽畅通,在其末端留有排气孔,在前方设置冷凝水的溢流口流向水沟。
3.卡尔·迈耶浆纱机
图3-lO为卡尔·迈耶·罗塔尔浆纱机的MPD型浆槽。在预热器底部装有网篮式大过滤网4,可以防止进入预热器的新浆或主浆槽回流的循环浆中的杂质、回丝流入输浆管,堵塞输浆泵以及造成浆污、浆斑。
浆液由预热器下部经由输浆横管6、循环浆泵7、输浆竖管8,通过浆槽上沿的浆液喷淋管将浆液注入浆槽。浆液喷淋管两端原为封闭式,使用时也可把喷淋管两端打通,浆液同时从两端溢出,能消除浆液静止死角,防止结皮浆斑疵布[20]。
MPD型浆槽也具有两个蒸汽加热系统,一是通过浆槽中的鱼鳞管,直接喷射蒸汽,加热浆液。二是蒸汽通人浆槽夹层中的汽管,通过夹层中的水温间接加热,两个系统均有温控装置。
4.GA308型浆纱机
图3—1l为国内郑州纺织机械公司生产的GA308型浆纱机的新型浆槽,主浆槽与预热器连为一体,系夹层结构,内外层均为不锈钢制造,夹层内填充保温材料。主浆槽容积为180L,浆液面高度可用手轮调节溢流板角度而改变。浆槽内有4根鱼鳞管,蒸汽直接加热,温度采用PID控制型
预热器容量为210L,液面采用浮球控制,如图3—12。
预热器装有2根鱼鳞管,蒸汽直接加热。可以采用提高浆液预热温度,降低主浆槽加热强度,避免浆液沸腾、飞溅,减少浆斑和浆皮给清洁、设备保养工作带来的问题。
该浆槽选用大流量、低扬程的循环浆泵来充分满足浆液快速循环。
总之,国外新型浆纱机在高速运转时,由于浆槽容积偏小及蒸汽加热强度不够,使浆液温度难以达到国内高温上浆的工艺要求。鉴于此,GA308型浆槽采取了上述有效的改进措施。
5.津田驹HS20一Ⅱ型浆纱机
国内使用较多的津田驹HS20一Ⅱ型浆纱机的浆槽如图3—13所示。
津田驹浆纱机的浆槽结构与其他新型浆纱机均不相同。其主浆槽与预热器是分开的,双浆槽共用一个预热器,用连通输浆管3连接,以保证双浆槽的浆液完全一致。预热器安放在主浆槽前方、机架外侧。由电磁阀输入新浆,通过三点式电极或压差式汽管控制浆液面高低。由输浆泵把浆液打入浆槽内。主浆槽液面流向与纱片运行方向相同,但也仍有速差可以利用其贴服毛羽。
预热器中安放有超大过滤网篮,长、宽、高分别为38cm×25cm×25cm,网眼为2mm×2mm,就是利用网眼细而面积大的特点,既能滤清循环浆液中的飞花和浆渣,又不致造成堵塞。这是一般粗孔小型过滤器所不及的。
由于实际生产中循环浆液的飞花和浆渣出现较多,这里有必要介绍津田驹浆纱设备中采用的一种并不复杂的旋转过滤装置,如图3一14所示。
浆液从浆液流入口5流入,经旋转过滤圆网4进入内部,其中的飞花、浆渣受阻积存在圆网表面,随之旋转到旋转刷2处即被扫掉,顺斜板落入接飞花盘1中。而进入圆网内的清洁浆液从浆液吸入口3由浆泵抽到浆槽中回用。
津田驹浆纱机的浆槽也是双层结构,具有蒸汽直
二、引纱装置和作用
引纱装置位于浆槽后方的人口,其作用如下:
(1)使经轴退绕出来的纱片经过合并和张力调整积极地喂人浆槽,而不致消极地在浆槽润湿状态被上浆辊拖入,造成伸长过大。
(2)进一步对引纱辊与上浆辊之间的张力进行检测和调节,使上浆时纱片张力更适当。
(3)测算送人上浆的纱片长度,以便与上浆烘干后的长度比较,计算伸长率并及时调节。
以祖克浆纱机为例,其引纱装置如图3一15所示。
图3一15中引纱辊具有硬橡胶包覆的表面,对纱片握持力强。其直径与机前拖引辊一致(S系列均为212mm)。2为加压辊装于有支点的加压杠杆3的头端,通过重力紧压在引纱辊表面,并可由加压辊汽缸12的活塞推力脱离引纱辊。纱片绕过加压辊及引纱辊后,具有很大的压力和包围角,因而能拖动后方纱片,并且引入和送出的纱片具有不同的张力,为分段调控张力创造条件。
图3—15中张力辊装于摆动杠杆7上端。在摆动杠杆支轴11下端有两处螺孔,可供安装不同弹力的弹簧,从而使绕过张力辊的纱片摆动的角度不同,以适应各种纱号、头份的品种使用。摆动杠杆头端装有指针9,摆动时可在有刻度的张力表盘10上指示引纱辊到上浆辊区间纱片的张力,即喂入张力。祖克新型的S432型浆纱机的摆动杠杆支轴11上装有旋转电位计,张力变化引起电位计的角位移,信号反馈到计算机与设定值比较,通过PLc和变频器改变引纱辊电动机速度,使张力重新恢复到设定标准。
由于加压辊与引纱辊紧压接触,线速度一致。装于加压辊头端的磁性齿轮4转动时对测长脉冲传感器5产生频率响应,将脉冲信号送人车头计长装置,即能计量引纱辊送入的纱片长度,进而与车前拖引辊卷入的纱片长度比较,计算处理可得出浆纱伸长率。新型S432又改变这种磁性齿轮与脉冲传感器作用的计长方式,采用引纱辊传动电动机同轴的旋转编码器与PLc的反馈
图3—8、图3—10、图3一ll所示贝林格、卡尔·迈耶、GA308型浆纱机的引纱装置以及其他新型浆纱机的引纱装置都很相似。这种由引纱辊、加压辊和张力调节辊组成的三辊式牵引装置,已成为浆纱机结构的经典型式。
但是唯独津田驹HS20一Ⅱ型浆纱机没有设置引纱装置,如图3—13所示,纱线从经轴架退绕出来仅仅经过张力辊6和导纱辊7就直接进入浆槽上浆,显然其退绕张力和喂入张力合二为一,而不可能分段调控。表3—1是根据专题研究[21]的对比测试资料。
表3—1经纱进浆槽前单纱张力测试单位:0.98cN
产品种类 |
津田驹HS20-Ⅱ型 |
祖克S432型 |
|
进引纱装置以前 |
出引纱装置以后 |
||
JCl4.6tex(40英支) |
9.89 |
10.15 |
3.17 |
T/C65/3513tex(45英支) |
9.27 |
10.01 |
5.28 |
注1.纯棉浆纱速度:HS20一Ⅱ型35m/min,S432型55m/min。
2.涤/棉浆纱速度:HS20一Ⅱ型45m/min,S432型75m/min。
该研究报告表明,采用引纱装置的浆槽,纱线可以达到较低的喂入张力,并不出现纱线松弛、横动及紊乱现象,因为仍然是在有张力状态下进入浆槽的。
纱线进入浆槽张力较大,对于保持纱片排列均匀有一定作用,但纱线张力必须适度。生产中HS20一Ⅱ型浆纱机的减伸率一般要比其他新型浆纱机要大一些。
新近推出的HS30型、HS40型均已配备三辊式引纱装置,如图3—1
图3一16(a)为引纱装置结构示意,图3—16(b)为浆槽侧面的开关示意。引纱辊1用AC矢量电动机传动,引纱辊电动机切换开关7转向OFF即可脱开传动。压纱辊2通过自重加压,可由压纱辊升降开关8提升。摆动辊3用于吸收加减速时纱片张力的波动,其下部有弹簧提供适当的张力。两止动销4限制摆动辊的摆动范围。踏板6用于处理浆槽操作。起机带头及处理缠纱时,限位开关控制慢车运行。
三、浸压装置和作用
从以上各种浆槽结构图中可知,纱片绕过引纱装置的张力辊后,一般再绕过一根导纱辊(贝林格浆槽图3—8中未用此导纱辊)即正式进入浆槽。在浆槽中,首先接触的部件是浸没(压)辊,接着通过第一对上浆辊/压浆辊后再与第二根浸没(压)辊接触,然后进入第二对上浆辊/压浆辊。浸没(压)辊的作用有两个。
(1)决定纱片浸入浆液的深度。在正常的浆槽盛浆高度时,浸没辊下降越多则纱片浸入浆液越深,则浸浆长度越长。在一定速度时,浸浆时间也越长。在一定温度、浓度、黏度的浆液中,浸浆时间越长,纱线的毛细作用使浆液浸润越深,吸浆越多。这阶段称为浸润上浆阶段,显然是很必要的。
(2)在浆液中对纱片进行挤压,即让浸没辊对上浆辊施行侧向加压,使纱片在压力作用下更好地吸浆,使浸透程度更深。这是新型浆纱机具备的一个重要作用。
浸没(压)辊一般均采用无缝钢管制造,外包丁腈橡胶,硬度为邵氏A型硬度75,长度与上浆辊相等,祖克浆纱机的浸没辊外径为180mm,贝林格浆纱机为188mm,西点浆纱机为165mm。
图3—17为祖克浆纱机浸压辊的升降机构。
在浆槽左侧墙板上安装的小电动机(0.55kw,1300r/min,每浆槽两套浸压装置用2个小电动机)经减速器4减速,传动链轮、链条5,再经过螺旋齿轮6、齿杆传动托座7内的齿杆套,从而产生升降齿杆8的升降运动。齿杆下部有齿杆皮套
贝林格浆纱机具有相似的机构,通过电动机来实现浸压辊的升降。GA308型和其他国产新型浆纱机除了利用齿条电动升降以外,同时还配有手动调节轮,必要时采用手动升降。津田驹HS20一Ⅱ型则靠手柄带动齿条升降。
图3一18为祖克浆纱机浸压辊的加压机构,(a)为安装在浆槽墙板上的方位图,(b)为其结构。固定在浸压辊托脚l上的压杆2下部通过连接叉3、圆销4与加压汽缸9的活塞杆相连接。加压汽缸9的另一端则由汽缸支轴10连接在墙板上。当汽缸接受指令通入压缩空气时,活塞杆即拉动压杆2,使浸压辊托脚l向前摆动,使安装在托脚下方挂脚中的浸压辊对上浆辊进行侧向加压。此时受到螺母、垫圈加压的弹簧7的压缩,待汽缸不再通人压缩空气时,弹簧即恢复原有长度,推动压杆2,使浸压辊与上浆辊脱开。皮套8则起清洁保护作用。
祖克浆纱机最大侧压力为4kN,国产GA308型、GA338型最大侧压为3kN。贝林格浆纱机浸没辊只要下降到浆液中,即通过弹力自行与上浆辊紧贴,不需另行施加侧压。应该指出,施加侧压后浸没辊由上浆辊带动旋转,而不是由纱片带动旋转,可避免增加额外的张力,这是上浆的基本要求。
四、压浆装置和作用
1.压浆辊和上浆辊的轧压作用[22]
如浆槽结构图所示,纱片通过浸压辊后即进入压浆辊和上浆辊的轧压区。
压浆辊是在无缝钢管上采用压力热黏合方法包覆橡胶,然后进行研磨而成。如图3—19所示。为了提高黏结牢度,不起泡、不变形,包绕底胶和缓冲胶层,厚度约5mm。表层橡胶厚度为20mm,要求能在高温浆液中长期浸泡而不变形,并具有耐酸碱的特性。一般采用丁
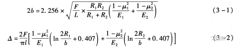
压浆辊与上浆辊成对组合,由上浆辊摩擦传动,如图3—21所示。按照弹性力学关于“半平面体在边界上受法向分布力”的分析,压浆辊O1与上浆辊O2受压浆力F作用时,由于弹性变形,两辊中心距将缩短△,接触部分由线接触变为面接触。接触面作用宽度为26,接触应力按椭圆分布。计算宽度26和压缩量△的公式为:
式中:l——压浆辊、上浆辊长度;
R1、R2——压浆辊、上浆辊的半径;
μ1、μ2——泊松系数,橡胶材料可取0.47;.
E1、E2——弹性模量,可由其硬度推算;
F——压浆力。
由式(3-1)可导出平均压强σ的计算式(3—3):
因式(3—3)中其余均为常数,所以:
即平均压强与压浆力的平方根成正比。也就是说,当压浆力增加时,尽管挤压宽度增大,但压强还是增加的。故常用增减压浆力来调节上浆率的大小。
当开车运转时,上浆辊的转动会把浆液从浆槽中带入轧压区,如图3—22所示。设压浆力为F,上浆辊表面的线速度为ν,挤压区宽度为26,则在挤压区入口处上浆辊表面带有的浆液、压浆辊表层或微孔中挤压出来的浆液以及纱线本身带有的浆液相互混合。其中一部分随纱线进入挤压区,参与挤压,在轧压区中,纱线除内部浸透了部分浆液外,
式中:ι——压浆辊工作幅宽;
η——浆液黏度;
K——常数。
纱线需要通过带入的浆液进行轧压上浆,所以浆液黏度η和速度ν必须达到一定水平,并与一定的压浆力F相配合,才能形成适当的浆液厚度h,为适量上浆创造条件。
根据弹性流体动力学,当上浆辊转动时,压浆辊对上浆辊的压力由静止时的赫芝椭圆分布改变为图3—23所示的不对称分布曲线。曲线分为前后两段,前区这一段与椭圆曲线相近(但其起点入口处有少许压力沿着上浆辊周向延伸到36距离),后区这一段变为陡峭的凹形曲线,为了计算简便,以下用反向椭圆曲线表示。
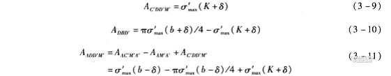
如图3—24所示,压浆辊静止时,压强(接触应力)总和可用以C点为中心的半椭圆面积AAMB表示,其半轴为b和σmax,σmax为最大压强,总面积等于压浆力:
压浆辊转动时,压强分为加载和卸载不对称曲线下的两块面积。接触前区仍为椭圆形压力分布,半轴为
和,面积为AC′BM′,与原来中心点的偏离为δ。接触后区变为凹形曲线的压强分布,以保持压力与滚动摩擦阻力平衡。以半轴
的反置椭圆面积AAC′M′,表示接触后区的压强分布。
为重新分布后的最大压强
,压强合力作用线与图形的交点为D、D′,
前后的压强分布面积应相等:
可以近似地认为:
将式(3—10)、式(3一11)代入式(3—8),得:
根据滚动摩擦理论,滚动圆柱体压力的合力作用线离开静止时原有合力作用点C的距离K即是滚动摩擦系数,并且K≈b/4
这表明压浆辊转动后,最大压强作用点C′落在静止时的中心点c后方。从式(3-12)可以看出,当K>O.2856时,6为负值,即C′点移到C点前方。
将δ值代入式(3-lO)、式(3-11),再代入式(3—7),并与式(3—6)比较,得出:
即压浆辊转动时最大压强为静止时的1.5l倍。
C′前区平均压强:
C′后区压强分布图形面积为:
∴C′后区平均压强:
由式(3—13)~式(3-16)表明,根据静态时的压浆力和产生的挤压宽度,即可得出动态时前后区的不同宽度和不同的压强分布以及压强出现的峰值情况。现以不同的弹性模量,即不同硬度的压浆辊应用时,模拟的示意图3—25进一步做出以下分析:
(1)硬度偏低的压浆辊,其整个挤压区宽度大,压强平均值小。运转时前区平均压强……小,因而使浆液压入纱线的作用较轻。后区减压时因平均压强
更小,使浆液从纱线中挤出少,保留较多。所以全过程浸浆缓和均匀,浸透率高。又因挤压宽度2b′′′和压缩量△′′′较大,弹性回复多,纱线表面附着浆液被压浆辊抹去带走较多,被覆率较低,被覆率与浸透率的比值较低。上浆率稍有偏低时,常会引起起毛起球。
(2)硬度偏高的压浆辊,其整个挤压区宽度小,压强平均值大。运转时前区压强大
,因而浆液压入纱线的作用力大。后区减压时平均压强
较大,使浆液挤出较多而保留少,所以全过程浸压剧烈而浸透率并不高。又因挤压宽度26′和压缩量△′小,弹性回复少,第二次分配时纱线表面浆液被压浆辊带走量少,被覆率高,被覆
(3)硬度适中的压浆辊,其整个挤压区宽度适中,压强平均值适中。运转时前区压强
适度,有足够浆液压入纱线。后区减压时平均压强
减小,浆液挤出适量,并有适量保留,浸透率不低。又因挤压宽度2b′′和压缩量△′′适当,弹性回复适当,第二次分配时纱线表面浆液被压浆辊带走适量,被覆率与浸透率的比值符合要求。当上浆率适中时,既不起毛起球,也无太多落浆、落物。
总之,纱线通过压浆前后区时,浆液进行二次分配,达到浸透与被覆各占不同比例的上浆。
从上述分析中可知压浆力、压浆辊的硬度(至于上浆辊的硬度,因为是不锈钢或邵氏A型硬度95°以上的硬橡胶包覆,其变形相对较小,可不予考虑)和挤压宽度是三个关联的参数。图3—26提供的数据可作参考[15]。
关于轧压区宽度的检测,贝林格公司推荐专用的压辊检查条或者采用夹在两层纸之间的复写纸。使用时抬起压浆辊,在上浆辊上放人压印纸,在压浆辊加上最大实际工作压力或者分级加载,让压浆力作用大约0.5—1min后将压浆辊卸载并抬起。使压浆辊转动45°或90°,重复这个过程,然后测量各压痕尺寸,如图3—27所示[18]。
在压印纸上注明前进方向、浆槽和压浆装置的号码。每隔5cm测量一下压痕的宽度,将测量值填入一个图表,如图3—28所示。
各种新型浆纱机常用的压痕范围大体在10~18mm,贝林格浆纱机推荐最好是15mm,中间部位的压痕可稍宽,大约17mm,可以弥补压浆辊加压时中部压力不足。
在检查压痕时可同时检查压浆辊表面硬度,采用邵氏A型硬度计在常温20℃左右检查。但浆槽通常在95℃高温上浆,须注意压浆辊硬
新型浆纱机浆槽轧辊直径和硬度举例如表3—2。
表3—2新型浆纱机浆槽轧辊直径和硬度
项目 |
祖克 S432型 |
贝林格 Sizetic型 |
津田驹 HS20-Ⅱ型 |
郑州纺机 GA308型 |
|
预 压 浆 |
浸没辊直径(mm) |
180 |
188 |
170 |
180 |
浸没辊硬度(邵氏A型硬度) |
75 |
75 |
70 |
75 |
|
上浆辊直径(mm) |
240 |
200 |
200 |
248 |
|
上浆辊硬度(邵氏A型硬度) |
100 |
100 |
loo |
100 |
|
压浆辊直径(mm) |
209 |
250 |
190 |
215 |
|
压浆辊硬度(邵氏A型硬度) |
65 |
75 |
65 |
75 |
|
主 压 浆 |
浸没辊直径(mm) |
180 |
188 |
|
|
浸没辊硬度(邵氏A型硬度) |
75 |
75 |
|
|
|
上二浆辊直径(mm) |
240 |
200 |
230 |
248 |
|
上浆辊硬度(邵氏A型硬度) |
100 |
100 |
100 |
100 |
|
压浆辊直径(mm) |
209 |
225 |
190 |
215 |
|
压浆辊硬度(邵氏A型硬度) |
80 |
75 |
65 |
75 |
|
接触辊直径(mm) |
|
|
140 |
|
|
接触辊硬度(邵氏A型硬度) |
|
|
70 |
|
|
压浆辊的表面有光面和微孔两种。国外进口浆纱机大都配置微孔辊,其作用在于:
(1)微孔橡胶压浆辊既能达到较高的硬度,又能减少多余的表面上浆。为了达到高压、高挤压强度,必须提高压浆辊硬度。但高硬度压浆辊在挤压后回复快,如果没有微孔吸浆作用,纱线表面保留的多余浆液便是一种浪费。
(2)利用微孔吸取贮存浆液,在需要时能释放出浆液,补充供浆量,以弥补开慢车时上浆辊带入轧压区的浆液不足,缓解轻浆起毛问题。
(3)仔细观察浆辊压出的纱线,并未发现微孔吸出毛羽、增加3mm以上有害毛羽的现象。
贝林格浆纱机的压浆辊的包覆层由含有石英珠和纤维的混合橡胶构成,在加工磨削包覆层时,石英珠脱落,出现许多在放大镜下可以观察到的小“汤匙”,这些小汤匙将浆液送进压浆点并将多余的浆液从压浆点带走,实现均匀的上浆。包覆层面带织物纹理的纤维阻碍经纱毛羽张开或纠缠,并且能减弱纱线对辊面的粘贴,使纱片离开浆槽从辊面“剥离”时不致产生毛羽。
总之,微孔橡胶压浆辊是一种精细、严密的工艺部件,从原理上讲是有利于上浆的。但在目前一般器材厂加工制造中,由于橡胶材质不致密,加工不精细,微孔辊面不易达到光辊表面那样平整光滑。由于辊面粗糙,甚至呈现凸丘状而影响毛羽。目前因为这个问题,避开使用微孔压浆
2.压浆装置的结构
压浆装置的加压机构,多数为竖式垂直加压,如图3—29所示。在浆槽左右墙板7上留有预、主上浆辊轴承孔8和9,供安装上浆辊用。在其上方装有加压杠杆3和活塞杆4,杠杆中部留有预、主压浆辊轴承孔1和2,供安装压浆辊用。杠杆后方支点固定在墙板上。杠杆前方用圆销与活塞杆4相连,活塞杆上套着回复弹簧,外用皮套5保护。活塞汽缸下端固定在墙板上。当压缩空气从汽缸上端通人后,即通过加压杠杆的移动和弹簧缓冲实现压浆辊加压。当压缩空气从汽缸下端通入释压后,活塞杆上的回复弹簧可平衡压浆辊和杠杆的重力作用。
图3—30为贝林格浆纱机的气囊加压装置,采用特制的橡胶气囊取代一般浆纱机传统的活塞汽缸,实现无摩擦阻力、无滞后加压。装在机架上部的压浆辊加压杠杆通过连杆6与气囊作用杆7连接。当主气囊加压时,即通过气囊作用杆7、连杆6、加压杠杆4达到所需要的压浆力。辅助气囊9则用以平衡压浆辊和杠杆的重力。与传统的汽缸相比,气囊既没有磨损、腐蚀,也没有封口漏气,具有相当优越性。
图3—31为津田驹HS20一Ⅱ型浆纱机的浆槽加压装置。纱线由浸没辊带入浆槽液面下,经第一对上浆辊、压浆辊轧压上浆,其垂直加压与一般浆纱机相似。加压杠杆支轴5装在机架上,汽缸进气时推动活塞杆6带动加压杠杆使第一压浆辊3产生压浆力。
纱线进入第二道轧压,首先经过接触辊9传送给第二上浆辊10带上的楔形浆液中,轧压时多余的浆液自行回流。由于接触辊安装在第二上浆辊下方偏前δ,因而轧压前纱线已与上浆辊形成一小段包围弧,有一定握持力,可以保证轧压中纱线不会游移不匀。接着又包绕上浆辊进入第二压浆辊的轧压区。津田驹浆纱机的资料强调,这种压辊配置方式,可以避免纱的侧滚,一个浆槽可以最少浆500根纱,且纱能排列均匀。
第二道压浆辊是横向水
汽缸7和15均有回复弹簧,用以平衡压浆辊和杠杆的重力作用。
普通浆纱机通过加压杠杆作用的压浆力,作用在压浆辊两端的轴承上,形成双支点梁,必然引起弯曲变形,造成压浆辊中段拱起、中段压强小于两边边部压强的分布不均现象,严重影响上浆率和回潮率的横向不均匀。
美国格里芬(Griffin)父子有限公司制造的MMG系列浆槽,如图3—32所示。由3只直径25.4cm(10英寸)压浆辊,并排平放在浅浆槽中。第一压浆辊1用不锈钢制,是固定位置。第二压浆辊2表面包有橡胶层,可左右移动,第三压浆辊3也是不锈钢制,可以向第二压浆辊移动加压。从经轴架退绕的纱片先经过三辊式引纱装置5,导纱辊6,在第一、第二压浆辊之间第一次轧浆,再浸没到浆液中绕过第二压浆辊的下面,在第二、第三压浆辊之间第二次轧浆后向上方引出。这种独特的三压辊设计,使压浆辊的挠曲程度可降低一半,如图3—33所示。传统双轧浆辊设备上,两端加压形成上下辊挠曲相反,挠度X大。在MMG浆槽中因为中间的橡胶压浆辊两面受力平衡,不会出现挠曲,因此使轧压位之间挠曲程度降低,降低了纱片中间部分出现较大上浆率的可能。
MMG浆槽因为体积小,浆纱垂直向上引出,使操作活动空间改进,特别适合多浆槽浆纱机。
随着新型浆纱机高压上浆的发展,必须采用中固式的均匀轧压辊,下面对其设计与计算加以介绍[24]。
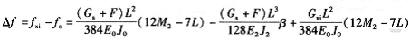
如图3—34所示,上浆辊可看做两端支撑的简支梁,假定受均布载荷qxi,不计剪力对挠度影响,则最大挠度fxi根据材料力学应为:
式中:Eo、Jo——辊截面抗弯刚度。
图3—35所示为中固压浆
其中
α和C/L在不同值组合下,中固辊有不同的挠度曲线,图3—36中表示三种典型情况。
其中只有第1种情况辊两端的弯曲方向与均布载荷方向相同。第Ⅱ、第Ⅲ种情况均相反,因此只能取第1种的组合值。
图3—37中上轧辊(即压浆辊)为中固辊,重量设为Gs;下轧辊(即上浆辊)为普通辊,重量设为Gxi;qF为一对轧辊的线压力。
上下轧辊受力情况分别为:
qs=(F+Gs)/L (3~20)
gxi=(Gxi+F+Gs)/L (3—21)
根据式(3—17)、式(3—18)、式(3-20)、式(3—21),上轧辊,即中固压浆辊的最大挠度:
下轧辊,即上浆辊的最大挠度:
这对轧辊的最大相对变形:
式中第三项在实际生产中是常数,如设计中使第一项与第二项相等,则△f即成为常数,而与压力F的变化无关。若第一、第二项相等,则:
图3—36已表明,当α=0.45—0.5,C/L=O.1时,中固压浆辊与上浆辊变形曲线的走向一致,所以取中固长度C=0.1L,代入式(3—19)得:
联解式(3—24)、式(3—25)可求得α值和β值,再代入式(3—23)求得中固辊的内径d。
GA308型浆纱机的中固压浆辊即是采用上述计算方法设计的。其M1=2250mm,M2=2430mm,L=1990mm,
祖克浆纱机、贝林格浆纱机以及国内其他新型浆纱机压浆辊的中固长度分别为200mm、150mm或者在150~200mm之间。具体要根据材质弹性,结构尺寸以及配合的上浆辊数据,结合试用情况决定。
相关信息 







推荐企业
推荐企业
推荐企业