织轴卷绕张力与压纱辊压力
织轴卷绕结构的紧密与均匀,对织物质量、外观疵点以及运转效率非常重要。关于卷绕张力的调节在前已有专门论述(参见第五章第六节),这里进一步从织轴卷绕张力与压纱辊压力的关系上加以分析,说明其相互作用对织轴结构的影响。
一、织轴卷绕张力与压纱辊压力关系分析
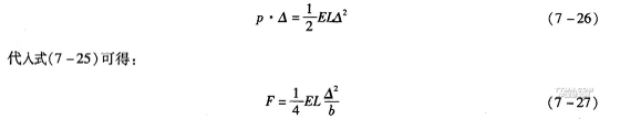
上浆纱线在浆纱机车头由拖引辊经张力辊、导纱辊引出,在张力T0作用下自切点以半径R1卷入织轴,经包绕角α至压纱辊,受压纱辊压力p挤压后,形成紧密的卷绕结构。如图7—6所示,先以单压纱辊作简单示意。设纱片进出挤压区的张力分别为T1和T2。T0是卷绕机构设定的主动力,是纱片通过张力辊与汽缸气压平衡所决定的。由T0张紧的纱片被转动的织轴包绕,与皮带轮传动类似,有一定的伸长和弹性滑移,因而应用欧拉公式:
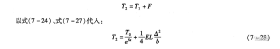
织轴受压纱辊挤压力p,形成宽度为2b的挤压区。中心距移近△,实际也就是织轴半径R1在挤压区中的最大压缩量。设织轴与压纱辊紧压滚过挤压区的切向平均阻力为F。根据摩擦理论,滚动圆柱体在压力p作用下,中心移动△的功和它以平均阻力F滚动2b挤压区的功是相等的,即:
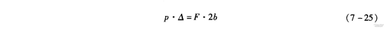
由于织轴挤压变形的回复性能很好,p·△实际上是织轴压缩的弹性能量。当压缩量不大时,可以认为△与压力p近似成线性关系。用E表示织轴的弹性模量,L表示压纱辊的长度,则:
压纱辊对织轴挤压滚动的切向阻力F由表层纱片承受和传递,因而张力增加为:
织轴弹性模量E是衡量织轴软硬的参数,可用邵氏A型硬度计很方便地测出硬度HSA,国外已普遍采用[39]。
经测算,织轴大、中、小半径时压纱力p与织轴硬度HSA及b、△的关系如表7—1所示。
表7一l织轴大、中、小半径时压纱力p与织轴硬度HSA及b、△的关系
<
R1 (cm) |
p(N) |
p/L |
HSA |
40 |
50 |
60 |
70 |
80 |
|
(N/cm) |
(kgf/cm) |
E(N/cm2) |
5.50 |
9.06 |
15.18 |
27.25 |
57.19 |
||
20 20 20 20 20 20 20 20 |
1000 2000
3000
4000 |
6.25
12.50
18.75
25.00 |
0.637
1.274
1.911
2.548 |
B △ B △ B △ B △ |
0.619 0.264 0.876 0.487 1.072 0.696 1.238 0.895 |
0.482 0.169 0.681 0.313 0.834 0.447 0.964 0.577 |
0.371 0.1050 525 0.196 0.643 0.282 0.742 0.364 |
0.280 0.063 0.396 0.118 0.485 0.170 0.566 0.220 |
0.194 0.033 0.275 0.061 0.337 0.088 0.389 0.115 |
30 30 30 30 30 30 30 30 |
1000
2000
3000
4000 |
6.25
12.50
18.75
25.00 |
0.637
1.274
1.91l
2.548 |
B △ B △ B △ B △ |
0.637 0.286 0.90l 0.530 1.104 0.761 1.275 0.98l |
0.496 0.18l 0.702 0.339 0.859 0.487 0.992 0.629 |
0.382 0.113 0.540 0.212 0.662 0.305 0.764 0.395 |
0.288 0.068 0.407 0.127 0.499 0.183 0.576 0.238 |
0.206 0.035 0.283 0.065 0.347 0.095 0.400 0.123 |
40 40 40 40 40 40 40 40 |
l000
2000
3000
4000 |
6.25
12.50
18.75
25.00 |
0.637
1.274
1.911
2.548 |
B △ B △ B △ B △ |
0.647 0.301 0.915 0.562 1.12l 0.808 1.295 1.044 |
0.504 0.194 0.712 0.358 0.872 0.516 1.007 0.667 |
0.388 0.119 0.549 0.223 0.672 0.322 0.776 0.417 |
0.293 0.071 0.414 0.133 0.507 0.193 0.585 0.251 |
0.203 0.036 0.287 0.069 0.352 0.099 0.406 0.129 |
利用测算资料,从式(7—28)进一步推导,可得出在卷绕张力T0和压纱辊压力p共同作用下,外层卷绕纱片对浆轴内层的压强g(cN/cm2)计算公式如下(推导从略[40]):
式中:H——织轴幅宽,cm;
R2——压纱辊半径;
δ——双压纱辊中心距离,cm;
T0、p均用机上显示数据。
据实例测试数据和曲线表明:
(1)卷绕张力T0增加或压纱力p增加时,纱片对内层的压强成
(2)压纱力p比卷绕张力T0的作用曲线斜率较小,说明压力比张力影响较缓和,所以工艺设定压力通常要较张力大,效果才明显。但应注意,即使张力很大,也要靠压纱辊直接挤压,来弥补横向张力排列不匀,达到浆轴平整的要求。
二、织轴正反向卷绕差异的分析
为避免地基挖坑,便于楼房安装,在新型大卷装浆纱机上的压纱辊往往不是设置在织轴正下方,而是偏于后方,如图7—7所示。织轴正卷(即纱片从织轴前面卷入)和织轴反卷(即纱片从织轴后面卷入)两种卷向其压纱辊作用点离卷入起点的包绕角α并不相等,大、中、小轴时其差异也不一致。因而按式(7—29)计算其压强都会有差异。
宽幅无梭织机(280cm以上)使用双织轴时,由于轴头尺寸不对称,在浆纱机上轴时为了避免纱片对中心和调整幅宽,总是正反向卷绕交替使用的。经宽幅无梭织机实测,正反向卷绕的双织轴卷绕半径差异一般在2~7mm,个别高达lOmm以上,这对双幅布的织造张力,布面风格及双织轴的了机回丝都有影响。
以祖克浆纱机为例,对图7—7所示的新、旧机型比较,由于其导纱辊设置的位置改变,使卷绕包绕角α变动很大,如表7—2所示。
在旧机型上反卷织轴较紧密,同样长度的纱卷绕直径较小。在新机型上反卷织轴较松,直径较大。
解决双轴卷径大小和松紧差异,可采用以下办法:
(1)改变卷绕加压机构结构点的尺寸,主要是调整导纱辊的位置,达到正反向卷绕的包绕角一致。
(2)正反向卷绕时,分别加减压纱辊的压力。由式(7—29)可知,正反向卷绕α角的改变可用压力p的改变弥补,即令p1.33[1—1/ef(2π-α]保持恒定,此
表7—2新、旧型号祖克浆纱机织轴卷绕包绕角比较
织轴 |
S422型等旧型祖克浆纱机 |
新型S432祖克浆纱机 |
||||||
卷绕直径 (cm) |
正卷包绕角 |
反卷包绕角 |
正卷包绕角 |
反卷包绕角 |
||||
(°) |
(rad) |
(°) |
(rad) |
(°) |
(rad) |
(°) |
(rad) |
|
40 |
138 |
0.77π |
53 |
0.29π |
92 |
0.51π |
99 |
0.55π |
60 |
150 |
0.83π |
63 |
0.35π |
98 |
0.54π |
112 |
0.62π |
80 |
163 |
0.9lπ |
68 |
0.38π |
118 |
0.65π |
122 |
0.68π |
表7—3正卷与反卷压力比值
浆纱摩擦系数 |
0.3 |
0.4 |
0.5 |
0.6 |
0.7 |
正卷与反卷压力比值 |
1.12 |
1.09 |
1.07 |
1.06 |
1.04 |
(3)采用较大的
相关信息 







推荐企业
推荐企业
推荐企业