竹纤维是以竹子为原料生产的再生纤维素纤维,化学成分主要是纤维素、半纤维素和木质素,另外还有少量色素、灰分等其它物质。不同于棉、麻等纤维素纤维,用竹纤维纱线生产的纺织品具有独特的风格,如环保、天然抗菌、抗紫外线、柔软滑爽、悬垂性好、强力高、耐磨性好、吸湿性好、凉爽靓丽等特点。竹纤维中具有抗菌和防臭的微量元素,使其24 h的抗菌率达71%,大大高于其它纤维。本文就前处理工艺中竹纤维针织物的漂白工艺做些初步探索。
1 实验部分
1.1 实验材料和药剂
材料:14.58 dtex竹浆纱针织物(市售)。30% H2O2 、碳酸钠和硅酸钠均为市售工业品。
1.2 漂白方法及处方
由于竹纤维耐碱、耐氧化能力较棉纤维差,所以采用氧漂工艺进行漂白时,要使色素等杂质在较温和的工艺条件下去除,且能保持竹纤维天然特性不受破坏。同时竹浆纤维湿强较低,经碱、双氧水处理又降低其强力,因此在煮漂前处理时要控制好碱和双氧水的用量。
工艺处方:30% H 202 l,2,3,4,5,6,7,8,9,l0g/L,纯碱3 g/L,硅酸钠1 g /I 。
工艺条件:浴比1:5O,温度3O,4O,5O,60,7O,80,9O,100 ℃,时间1 ,3O,45,6O,75,9O,1O5,120min
工艺过程:按工艺处方在室温下配制漂白液,然后投入试样,待升温至一定温度后保温一段时问,漂白后充分进行水洗并白然晾干。
1.3 测试指标及方法
1.3.1 白度
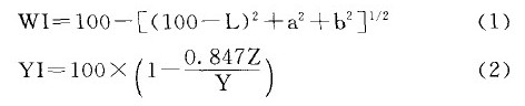
试样的三刺激值X、Y、Z及I a b值在Data color600电脑测配色仪上测定,采用D65光源和 lo。观察角。亨特白度(WI)用式(1)计算,黄度(YI) 用式(2)计算:
.jpg)
1.3.2 失重率
漂白前后的试样在HD101A型电热鼓风烘箱 (南通宏大实验仪器有限公司)中105℃烘2 h,然后在电子台秤上迅速称重,按式(3)计算织物的失重率。<
2 结果与讨论
2.1 双氧水浓度、处理时间和处理温度对白度的影响
2.1.1 双氧水浓度的影响
双氧水浓度对织物白度的影响结果如图1所示。由图l可知,随着双氧水浓度的升高,织物白度逐渐提高。当浓度小于5 g/I 时,随着浓度的增加,
织物白度提高较快,黄度下降也较快;当浓度大于5 g/l时,随着浓度的增加,织物白度提高较缓慢。而当浓度过高时,会对纤维造成一定的损伤,因此在实际生产中,双氧水浓度的选择应以既能达到一定的白度又不损伤或对织物损伤较小为宜,本研究条件下双氧水浓度应选取5~8 g/ I 。
.jpg)
2.1.2 双氧水处理时间和温度的影响
为了确定不同处理时间和温度对竹纤维织物漂白效果的影响,本文选定漂白温度90℃ ,30% H2O27 g/L时不同时间及漂白时问60 min,30% H 2O2 7 g/l时不同漂白温度条件下测试漂白效果,所得结果如图2、图3所示。
.jpg)
由图2可知,随着时间的增加,织物白度逐渐提高。在60 min之前,织物白度提高较快,60 min后,织物白度趋于稳定。考虑到成本及能源消耗问题,在此条件下,选择漂白时间为60 min。
温度对竹纤维漂白效果的影响如图3所示,随着温度的升高,织物白度逐渐提高,黄度逐渐下降。在30~60℃ 时由于温度较低,双氧水分解速率缓慢,白度提高较慢;60℃以后,温度升高,双氧水分解速率不断加快,当温度为9O~100℃时,双氧水的分解率达90%,白度最高。因此综上所述,在此条件下,选择漂白温度为9O℃ 。
.jpg)
2.2 双氧水浓度、处理时间和处理温度对试样失重率的影响
双氧水浓度、处理时间和处理温度对竹纤维织物失重率的影响。从如图4~ 图6所示。
由图4可知,随着双氧水浓度的升高,失重率逐渐提高。当双氧水浓度小于3g/L时,试样失重较小;当浓度为3~6g/I 时,失重率
.jpg)
由图5可以看出,随着处理时间的增加,纤维失重率逐渐升高,90min时失重率基本达到最大。
由图6可知,双氧水漂白时,纤维的失重率随温度的升高而升高,在90℃ 时基本达到最大,可以给予织物较高的白度。
.jpg)
3 结语
通过对漂白温度、漂白时问和双氧水浓度对竹纤维针织物白度、黄度和失重率的影响研究,得出了采用常规双氧水漂白工艺对竹浆纤维针织物进行漂白的最佳优化工艺方案为:30% 双氧水7g/I 、温度 90℃、时间60min。
相关信息 







推荐企业
推荐企业
推荐企业