纺机网技术中心

 您所在的位置:  纺机网 >  技术中心 >  后整理 >

竹原纤维/毛交织花呢的防紫外线性能

来源:印染在线 发布时间:2011年08月18日

目前,使纺织品具有防紫外线性能主要有2种方法:一种是使用具有防紫外线功能纤维制成的纺织品,这类纺织品所用的纤维是添加了紫外线屏蔽剂的化学纤维或具有抗紫外线性能的天然纤维,此类纺织品抗紫外线性能持久;另一种是在织物后整理加工中,通过浸压或涂层的方法,赋予纺织品防紫外线性能。利用具有防紫外线性能的天然纤维开发纺织新产品,是新产品开发的方向。

竹原纤维中所含的叶绿素铜钠是安全、优良的紫外线吸收剂.竹原纤维织物比普通纤维织物具有更强的紫外线的吸收和反射作用,特别是在UVC区域更明显。本文利用不同比例的竹原纤维纱与毛纱交织,探讨不同竹原纤维含量的竹原纤维/毛交织花呢的防紫外线性能,以期为竹原纤维在精纺毛织物中的应用奠定基础。’

1实验部分

1.1实验材料

采用竹原纤维/毛交织花呢,有A、B、C、D、E共5种试样,各试样中竹原纤维纱与毛纱的交织比例分别为60:40,40:60,20:80,50:50和80:20。

5种样品采用同一规格,即采用19.6tex×2的竹原纤维纱与14.7tex×2的精纺毛纱进行交织,织物经、纬密分别为244根/10cm和216根/10cm。

1.2实验方法

利用U.4100分光光度计测定竹原纤维/毛交织花呢在不同波段下紫外线的透过率、吸收率和反射率。由于国家标准中将紫外线透过率和紫外线防护系数UPF一起作为评价防紫外线性能的指标,因此本文根据测试数据进行紫外线防护系数计算和分析。

1.2.1透过率

紫外线透过率的计算公式为

式中:Tλ为波长λ处的紫外线透过率;△λ为紫外线光波长度间距;λ为紫外线光波长度;n1、n2为

波长。

1.2.2反射率和吸收率

织物对紫外线吸收和反射,会降低紫外线的透过率,提高织物对紫外线的防护能力。三者之间的关系为

透过率=100%—反射率— 吸收率 (2)

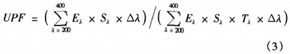
1.2.3紫外线防护系数

紫外线防护系数UPF与紫外线透过率互为倒数关系,计算公式为:

式中:Eλ为相对红斑的紫外线光谱效能;Sλ为太阳光谱辐射能;Tλ为波长λ处的紫外线透过率;△λ为紫外线光波长度间距;λ为紫外线光波长度。

[1][2][3]下一页>>
 相关信息 
  • 分享
  • 分享至腾讯微博
  • 分享至开心网
  • 分享至人人网
  • 分享至新浪微博
  • 分享至网易微博
  • 分享至豆瓣网
  • 分享至MSN
  • 分享至飞信空间
  • 打印该网页
  • 打印
 推荐企业
 推荐企业
浙江锦峰纺织机械有限公司
 推荐企业
丝普兰喷气织机 润源经编
关于纺机网 | 网络推广 | 栏目导航 | 客户案例 | 影视服务 | 纺机E周刊 | 广告之窗 | 网站地图 | 友情链接 | 本站声明 |