1.3.3 测试
(1)上染百分率和固色率测定[3]
染色结束后,将染色残液定容至染色前的染液体积,并稀释到合适的体积V1,在最大吸收波长处测吸光度A1。将染色后的染样按上述规定工艺进行水洗、皂洗,然后将水洗液、皂洗液合并,稀释到一定体积V2,在其最大吸收波长处测吸光度A2。另配制空白染浴一份,稀释到体积V0,测得吸光度A0。按以下的公式计算上染率百分率和固色率:
上染率/%=(1-A1V1/A0V0)×100
固色率/%=上染率-A2V2A0V0×100
(2)羊毛损伤程度测定[3]
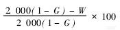
本试验采用碱溶度法测定羊毛损伤程度,具体操作为:准确称取0.1mol/L碱溶液100mL,置于有塞锥形瓶中,然后放入水浴锅中,待瓶内温度升至65℃时,将准确称取的2g染色试样浸入溶液中,保温1h。然后用已恒重过的玻璃漏斗过滤,瓶内试样先用水洗涤6次,然后用10mL/L的冰醋酸溶液洗2次,再水洗6次。最后将漏斗内试样于105~110℃烘至恒重。然后按下式进行计算:
碱溶度/%=![]()
式中:W———残留试样重/g;
G———含水率/%。
(3)含水率测定
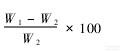
准确称取0.5~1g试样置称量瓶内,于105~110℃烘至恒重。
含水率/%=.jpg)
式中:W1———烘前试样重/g;
W2———烘后试样重/g。
2 结果与讨论
2.1 最佳染色工艺条件的确定
2.1.1 微悬浮体化助剂的用量
微悬浮体化助剂EX-1和EX-2在染浴中与染料发生作用,其用量直接影响染料微悬浮体化的程度,从而影响染料对纤维的上染百分率和固色率。取染料用量为6%(owf),改变悬浮体化助剂EX的用量,所得上染百分率和固色率结果如表1所示。
.jpg)
相关信息 







推荐企业
推荐企业
推荐企业