工艺流程 调节染浴pH值,加热至40℃,入染,然后以2℃/min速率升至一定温度,保温染色,取出水洗,烘干。
1.4 棉织物传统染色
工艺处方/(g/L)
活性染料/% (owf) 2
纯碱 10
食盐 60
浴比 1∶30
工艺流程 40℃入染→升温至60℃→染色15 min→分次加盐→续染15 min→加纯碱→续染
30 min→水洗→皂洗→水洗
1.5 性能测试
K/S值 采用Datacolor SF600 Plus CT测色配色仪测定。
耐摩擦色牢度 按GB/T 3920—1997《纺织品色牢度试验耐摩擦色牢度》测定。
耐洗色牢度 按GB/T 3921. 1—1997《纺织品色牢度试验耐洗色牢度》测定。
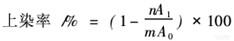
按式(1)计算上染率[6]:
![]()
式中:m———染色前染液稀释倍数;
n———染色后染液稀释倍数;
A0———染色前染液稀释m倍后的吸光度;
A1———染色后染液稀释n倍后的吸光度。
2 结果与讨论
2.1 棉织物改性工艺优化
<<上一页[1][2][3][4]下一页>>
相关信息 







推荐企业
推荐企业
推荐企业