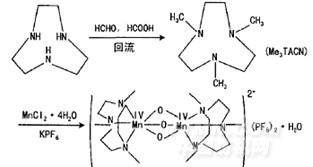
配体1,4,7.三甲基一1,4,7三氮杂环壬烷(Me3TACN)的合成:在过量甲酸存在下,TACN与甲醛回流反应24h,通过Eschweiler—Clarke胺甲基化反应,引入甲基[12],产率为90%。
双核锰配合物[Mn2IV(μ-O)。(Me3TACN)2][PF6]2·H2O的合成:配合物的合成路线如图1所示。将1mmol配体Me3TACN溶人6mL乙醇中,同时加人lmmolMnC12·4H2O和1mmolKPF6;室温下搅拌2h得一悬浮液。加入2mL1mol/LH2O2溶液,搅拌片刻,加入硅藻土过滤,滤液浓缩至原体积1/2,室温下结晶,过滤得红色针状晶体,产率为52.6%。
.jpg)
图1酉合物的合成路线
1.2.2配体及配合物的结构表征
红外光谱分析利用Avatar380型傅里叶变换红外光谱仪,采用KBr干粉压片法,对纯化后的配体及配合物进行分析。
核磁共振波谱分析用Avance400型核磁共振波谱仪对配体结构进一步分析。
元素分析采用VarioELIU型元素分析仪测试纯化后配合物中碳、氢和氮元素的含量。
热重分析采用TG209F1型热重分析仪,对提纯后的配合物进行热重分析,送样前,样品在100℃条件下干燥4h。
1.2.3浸渍漂白工艺
漂白处方
30%H2O2/(g/L) 2~l2
配合物/(~mol/L) 2.5~20
稳定剂DTA/(g/L) 0.5~2.5
渗透剂/(g/L) 1
浴比 l:20
pH值 8~12
工艺流程按上述配方配制漂白工作液后,置于恒温水浴振荡器中,以2~3%/min升温至60~80℃,保温60min,然后热水洗、冷水洗,烘干待测。
1.3织物性能测试
<<上一页[1][2][3]下一页>>
相关信息 







推荐企业
推荐企业
推荐企业