0 前言
我国秸秆年产量达8亿t左右,居世界首位,其中水稻秸秆约占25%[1]。作为农作物进行光合作用所形成的副产品,秸秆含有多种可被利用的有用组分,在石油资源日益枯竭和生态环境不断恶化的形势下,秸秆资源的利用受到世界各国前所未有的重视。
废弃的农副产品,如稻草秸秆、小麦秸秆、芝麻秸秆和甘蔗渣等经预处理得到纤维素,再对其进行醚化、酯化、酰化或阳离子化等改性用于工业生产、化学材料或废水处理已有报道[2-7]。预处理虽然可以提高稻草秸秆的反应活性[8],但稻草秸秆中的木质素和半纤维素等流失严重,而且其产生的黑液给环境净化带来了一定程度的负担。
我国是纺织生产大国,印染行业总量居世界第一[9],但印染加工产生的大量废水对水体的污染非常严重,对其处理变得越来越重要。絮凝法较之其它处理方法具有廉价、方便和低能耗等优点[10-11],采用絮凝脱色技术处理工业废水是目前国内外研究的热点之一。采用季铵盐阳离子化助剂处理纤维素,可赋予其良好的絮凝性能,并有效地应用于印染废水处理[2]。
本项目对主要组分为纤维素、木质素和半纤维素的稻草秸秆进行季铵化改性,获得水溶性良好的阳离子改性秸秆,并将其应用于活性染料的印染废水处理,脱色率超过98%。改性秸秆脱色剂与其它脱色剂相比,不仅节约成本和资源,而且为废弃的稻草秸秆高值化利用提供了一条途径。
1 试验
1.1 材料、试剂和仪器
材料 稻草秸秆(产自无锡)
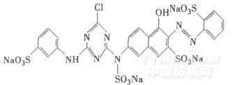
试剂 醚化剂EPTMAC(2, 3-环氧丙基三甲基氯化铵,东营市飒格曼石油科技开发有限公司);NaOH、无水乙醇(分析纯,国药集团化学试剂有限公司);5 mol/LHCl溶液、0. 01 mol/L AgNO3(自制);模拟活性橙K-GN染料废水(采用纯活性橙K-GN加入蒸馏水稀释至刻度配置而成,质量浓度100 mg/L)活性橙K-GN结构式:
.jpg)
仪器 S212恒速电动搅拌器(上海申顺生物科技有限公司),UV-2100分光光度计(上海UNIC仪器有限公司),DDS-307电导率仪(上海雷磁仪器厂), pH计(梅特勒-托利多仪器上海有限公司),Nicolet IS10傅里叶变换红外光谱仪(Thermo Scientific公司)
1.2 稻草秸秆季铵盐的制备
稻草秸秆经粉碎、水洗和烘干。取5. 0 g稻草秸秆粉末放入三口烧瓶中,按比例(EPTMAC∶AGU摩尔分数比,即将稻草看成全纤维素,以纤维素中葡萄糖单元AGU计算比例)加入EPTMAC,并加入一定质量浓度的催化剂NaOH溶液, 85℃恒温搅拌反应一段时间后;静置至室温,向混合液中逐滴加入HCl溶液至中性,加入200 mL无水乙醇,抽滤并用无水乙醇将产物清洗4次,真空干燥后密封保存于干燥器中待用。
用傅里叶变换红外光变谱仪分析产物结构,溴化钾压片,扫描次数为32次。
1.3 季铵化度的测定
取0. 2 g按1. 2节方法配制的稻草秸秆季铵盐,用100 mL去离子水溶解,搅拌均匀;以0. 01 mol/L AgNO3溶液通过电位滴定法测Cl-浓度,其季铵化度(QD)按式(1)计算:
.jpg)
1.4 脱色试验
取30 mL配制的100 mg/L活性橙K-GN溶液于150 mL锥形瓶中,用稀释的HCl溶液或NaOH溶液调节染液pH值,加入一定量按1. 2节方法配制的稻草季铵盐,用S212恒速搅拌器搅拌。先以150 r/min的速度快搅5 min,再以50 r/min的速度慢搅10 min,静置3 h,用注射器吸取上层澄清液,以紫外可见分光光度计测定上层清夜的吸光度,活性橙K-GN的最大吸收波长为462 nm,此时的吸光度为1. 504 5。脱色效果按式(2)计算:
.jpg)
相关信息 







推荐企业
推荐企业
推荐企业