纺机网技术中心

 您所在的位置:  纺机网 >  技术中心 >  染整 >

脂肪酶LipexIOOL对醋酸纤维改性工艺探讨

来源:印染在线 发布时间:2012年05月23日

醋酸纤维(简称CA)3L称醋酯纤维,是再生纤维素纤维中仅次于粘胶纤维的第二大品种,具有质地轻、弹性好、手感柔软滑爽、不易起皱等优点.但醋酸纤维大分子上存在大量的疏水性酯键,使得纤维亲水性变差,回潮率降低,在一定程度上影响了使用性能.对醋酸纤维进行改性的传统方法是碱处理法,但该法很难控制纤维的改性程度,且易损伤纤维,影响纤维强度和质量.同时,碱处理废液还存在环境污染问题.近年来的研究表明:使用脂肪酶、酯酶、角质酶等生物酶能对聚酯类纤维表面产生一定的水解作用,提高其润湿性能和染色性能,而纤维强力几乎不变.[1-2]

这种生物改性法具有反应条件温和、无环境污染、纤维改性程度可控等优点.[本文采用脂肪酶LipexIOOL对醋酸纤维进行改性处理.通过对反应残液的紫外分析,考察酶用量、处理时间、处理浴pH值、处理温度对水解反应的影响,确定脂肪酶Lipex100L对醋酸纤维的最佳改性工艺.
1试验

1.1材料与仪器

纤维:醋酸纤维丝束(南通醋酸纤维有限公司1;药品:橄榄油乳化液,脂肪酶LipexIOOL(诺维信生物技术有限公司),三羟甲基氨基甲烷(Tris)、盐酸、磷酸二氢钠、磷酸氢二钠、95%乙醇(国药集团化学试剂有限公司,均为分析纯).仪器:TD5A—WS离心机(上海卢湘

仪科学仪器有限公司1,MJ一160B—II恒温恒湿培养箱f上海跃进医疗器械厂),WHYF一2F恒温水浴振荡器(厶湾瑞比染色试机有限公司),uv一2802S紫外分光光度计(上海尤尼柯仪器有限公司),pHs一2C酸度计(上海伟业仪器厂),YGO01N+电子单纤强力仪(南通宏大实验仪器有限公司).

1.2醋酸纤维预处理

取一定量醋酸纤维,用50℃去离子水振荡处理1h(浴比1:100),以除去其上的纺丝油剂,再经水洗,室温晾干.

1.3脂肪酶处理醋酸纤维

以0.05mol/LTris溶液和0.05mol/LHC1溶液配制不同pH值的Tris—HCI缓冲液(浴比1:100),按表1配制反应液.做对照试验时,在加入醋酸纤维前使脂肪酶预先失活(8o℃保温10rain).将预处理后的醋酸纤维在一定温度下反应一定时间,取出纤维,用1g/LNa2CO,溶液40℃洗涤1h,再用去离子水40℃振荡洗涤2次,每次1h,最后将纤维室温晾干

1.4测试

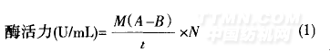
脂肪酶活力:取100mL锥形瓶2个,分别加入4mL橄榄油乳化液和5mL磷酸二氢钠一磷酸氢二钠缓冲液(pH7.5),置于40℃水浴中预热10rain.加入lmL酶液,立即计时,准确反应15min后迅速加入15mL乙醇终止反应.加入酚酞试剂2滴,用0.05mol/LNaOH标准溶液滴定至红色为终点.[5】记录耗用NaOH的量,按式(1)计算酶活.空白试验时,加入酶液前先加入乙醇.

式中、B分别为样品、空白滴定消耗标准氢氧化钠溶液的mL数;为反应时间;为1mLNaOH碱液的微摩尔数;Ⅳ为稀释倍数.反应残液吸光度:取一定量预处理后的纤维,按1-3方法配制反应液,40cc下反应15h.取出纤维,80℃保温10min使酶失活.然后离心反应残液(20min,4000r/min),使用紫外分光光度计测定残液在217nm(酶解产物乙酸的最大吸收波长)处的吸光度,以失活酶处理残液为参比.

断裂强力:采用单纤强力仪对试样进行拉伸测试,每组50次,夹距为30mm,夹持器下降速度300mm/min,预加张力1.0cN/tex.

[1][2][3]下一页>>
 相关信息 
  • 分享
  • 分享至腾讯微博
  • 分享至开心网
  • 分享至人人网
  • 分享至新浪微博
  • 分享至网易微博
  • 分享至豆瓣网
  • 分享至MSN
  • 分享至飞信空间
  • 打印该网页
  • 打印
 推荐企业
 推荐企业
浙江锦峰纺织机械有限公司
 推荐企业
丝普兰喷气织机 润源经编
关于纺机网 | 网络推广 | 栏目导航 | 客户案例 | 影视服务 | 纺机E周刊 | 广告之窗 | 网站地图 | 友情链接 | 本站声明 |