1.2.3染色工艺
处方:羊毛1.000 g,石榴皮色素10—30 mL(原液),温度40~100 oC,染色时间10~70 min,浴比1:30。染色工艺曲线见图1。
1.3测试指标
1.3.1上染百分率测试
用722型光栅分光光度计分别测定染色前后染液在其最大吸收波长(λmax)处的吸光度值(A0、Ai )。按照下式计算上染百分率]:
上染百分率=(1一n Ai/m A0)X 100%
式中:Ai为染色残液稀释n倍后的吸光度;A0为染色原液稀释m倍后的吸光度。
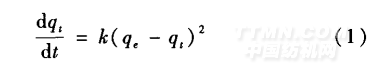
1.3.2准二级动力学参数计算
准二级动力学模型基于吸附速率由纤维表面未被占有的吸附空位数目的平方决定的假设 ,其公式为
.png)
将式(1)定积分,简化得到
.png)
在式(2)中,以t/q 为因变量,t为自变量作图,可得到一条直线,进而求得平衡吸附上染量q 及速率常 数k。式中:q 为染色平衡时纤维上染料量(mg/g);q 为t时间时纤维上的染料量(mg/g);k为速率常数(g/mg·min)。其中纤维上的染料含量按式(3)计算得到。
.png)
式中:C0 为染液中石榴皮色素的初始质量浓度(g/L);Ct 为染色t时刻染浴中石榴皮色素的质量浓度(g/L);V为总的染液的体积(L);W为纤维质量(g)。
2结果与讨论
2.1 石榴皮色素最大吸收波长的确定
根据1.2.1工艺提取的石榴皮色素在不同波长 条件下测得的吸光度,绘制出石榴皮色素的吸收光 谱曲线,结果如图2所示。由图2知,提取的石榴皮 色素为黄色,其最大吸收波长为420 nm。
.png)
2.2羊毛纤维改性工艺优选
2.2.1 WLS改性羊毛纤维工艺方法的优选
按1.2.2工艺,固定改性温度为60℃,改性处 理总时间为30 min,改变改性工艺方法,即改变WLS与碳酸钠的添加方式,然后按1.2.3工艺染 色,在70℃条件下染色40 min,最后测定经不同改 性工艺方法改性羊毛纤维的上染百分率,其中WLS 用量20%(owf),碳酸钠用量20%(owf),石榴皮色 素10 mL,结果如图3所示。 由图3可知,只加入WLS的上染百分率高于只 加入碳酸钠的上染百分率;而WLS与碳酸钠共同进行改性,上染百分率进一步提高,这是由于WLS是 一种含有多个环氧乙烷活性基的阳离子季铵盐类改 性剂,在碱催化作用下,环氧乙烷活性基与羊毛中的 氨基等含活泼氢基团发生开环加成反应,使羊毛纤 维改性,带有一定量的正电荷,进而增大其与石榴皮 色素间的静电引力,改善羊毛纤维染色性能;在固定 改性总时间的条件下,采用WLS与碳酸钠同时加入 改性浴中的一浴一步法工艺时,上染百分率最高,可达 到85.83%;而采用先用WLS处理羊毛纤维5 min后, 再加入碳酸钠处理25 min后的一浴两步法工艺时,由 于碳酸钠处理时间缩短了5 min,上染百分率较一浴一 步工艺方法有所降低。说明WLS必须在碱性浴中改 性羊毛,而且碱处理时间一定要适当延长,以便使wLS 充分地交联固着在羊毛纤维上。考虑到采用一浴一步 法改性工艺简单,上染百分率高,因此,改性羊毛纤维 的工艺方法可采用一浴一步法工艺,即WLS和碳酸钠 同时加入改性浴中进行改性。
.png)
2.2.2 碳酸钠用量的优选
按照1.2.2工艺,采用一浴一步法的改性工艺,在60℃条件下将羊毛纤维投入到用量20%(owf) WLS和0~40%(owf)碳酸钠的改性浴中,处理20 min,然后按1.2.3工艺染色,在70℃条件下染色40 min,最后测定碳酸钠用量对上染百分率的影响,结果如图4所示。
<<上一页[1][2][3][4]下一页>>
相关信息 







推荐企业
推荐企业
推荐企业