首页
棉纺
纺纱
织造
织机
针织
染整
化纤
无纺
技术
百度
谷歌
雅虎
必应
搜狗
搜搜
公司
产品
导购
样本
名片
视频
图片
新闻
技术
黄页
棉纺
纺织原料
开清棉
梳棉
精梳
并条
粗纱
细纱
络并捻
纺纱
环锭纺
转杯纺
喷气纺
涡流纺
摩擦纺
紧密纺
假捻变形
空气变形
热流变形
多重变形
织造
整经
浆纱
穿结经
卷纬
开口
引纬
打纬
卷取
送经
织机传动
织造工艺
织机
剑杆织机
喷气织机
喷水织机
片梭织机
片梭织机
多臂装置
提花装置
折入边装置
针织
纬编
织袜
经编
染整
前处理
染色
印花
后整理
染化料
测试
环保
化纤
人造纤维
合成纤维
化纤设备
无纺
干法成网
湿法成网
纺丝成网
针刺加固
热粘合
化学粘合
熔喷工艺
您所在的位置:
纺机网
>
技术中心
>
前处理
>
打印
字号
大
中
小
收藏
全棉织物生物酶退浆工艺研究
来源:陈文 吴建华 发布时间:2011年01月24日
传统高温浓碱型棉织物练漂加工过程需消耗大量的水、热能、化学助剂,排放出大量含高浓度污染物的废水,严重制约纺织印染企业的运行和发展。研究应用能耗低、排放少的节能降耗练漂工艺替代传统的高温浓碱型练漂工艺,是实现可持续发展的有效措施。[1]生物酶属于催化活性很强的蛋白质类物质,其处理作用具有高效性和专一性特征,能够高效地、有针对性地作用于特定对象,并且可在常温常压、酸碱度适中的温和条件下完成。酶处理法应用于棉织物的前处理加工,与常规碱剂前处理工艺相比,具有能耗低、织物强力损伤小、设备要求低、排污大幅减少、废水处理简单等诸多优点,是一种“绿色”前处理工艺。本文通过对纯棉织物生物酶练漂工艺和传统工艺的对比和分析,优化出纯棉织物的生物酶练漂工艺,以供印染企业实际生产参考。1 技术原理适合于棉织物前处理加工的生物酶主要有淀粉酶、果胶酶、纤维素酶等3 类。淀粉酶的作用对象是淀粉,可用于织物退浆处理,其作用机理是:通过催化淀粉分子链中a-甙键,使淀粉糊化,并从织物上降解脱落,从而达到退除淀粉浆的目的。L-2000 退浆酶是温宽型a-淀粉酶,能在较宽温度范围内对a-1.4甙键起催化作用,使淀粉水解成分子量较小的化合物,再经水洗去除。在退浆的同时,还能去除织物上部分其它杂质。[2]2 工艺实验2.1 材料与助剂织物:18tex×18tex平纹机织物,上浆率:4%-5%;苏宏酶2000L(工业品,诺维信苏州生产);滲透剂JFC-10(工业品)。2.2 指标测试2.2.1 毛效: 将半制品沿经向裁成5cm×35cm 布条,一端固定,一端竖直浸在蒸馏水中,测量30min 内水沿经向上升的高度。2.2.2 棉籽壳:目测比较。2.2.3 白度:采用datacolourSF600测色仪测定织物的白度指数。2.2.4 退浆效果:碘-点滴法2.2.4.1 退浆后的
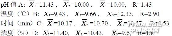
织物样品滴上几滴碘液(0.005 N),根据试液的呈色将退浆效果分为4 个等级:优-棕黄色(原色),良—里黄外偏蓝,中—蓝色,差—紫蓝或深蓝色。2.2.4.2 测试用碘液的配制方法:取18 克碘化钾和13 克碘溶解于水,使总量为1 升,再取此储存液5ml稀释到100 ml 即为测试液;储存液及测试液都要存放在深色瓶里,每次使用前需在淀粉上浆的织物原坯上点滴以检查其效能。2.2.5 断裂强力:将织物沿经向或纬向裁成5cm×35cm布条,采用YG2026型电子织物强力机测定。2.3 生物酶退浆工艺实验2.3.1 浸渍法工艺流程:酶退浆→热水洗→温水洗→冷水洗→烘干采用正交实验法确定酶处理工艺结果,见表1。
采用直观分析法求出极差,极差大者为主要因素,说明这个因素的不同水平对相应结果的影响较大,极差小者为次要因素,根据计算结果:
1
2
相关信息
·
色渍(斑)产生的原因及预防措施
·
溢流喷射染色机堵布的防止及排除
·
溢流喷射染色机产生堵布的原因及解决方法
·
对于色织布和印染布,您知道多少呢?
·
关于烧毛
·
印花织物优良的前处理
·
原棉散纤维染色技术
·
高新技术改造传统产业在印染前处理的使用
·
高新技术改造传统产业在印染前处理中的研发
·
淀粉酶对棉织物退浆工艺的影响
分享
打印
推荐企业
推荐企业
推荐企业
精品企业
·
喷气织机旗舰产品:人性化理念设计SPR700
·
高速并条机——并条机里面的战斗机
·
锦峰棉精梳机:神奇般的梳理效果
·
新型自动络筒机技术的革新
·
温度测量系列——测控专家 源自朝辉
·
润源经编机—国内经编机械制造的领头人
·
APT制造纺织机械专用按钮、指示灯
·
光洋电子DL-06系列整体式PLC
·
LHM1321型磁棒圆网印花机:印花机的代表品牌
·
青岛云龙并条机梳棉机:并人间品质 梳天下纤维
推荐产品
TZ315型大卷装倍捻机
剑杆筘 片梭筘
防尘罩双头激光切割机
高支羊绒搓毛胶板
独立传动圆网印花机
上轴承座、中心管结合件
PT124系列高温熔体压力传感器
织物破裂试验机
五罗拉花式捻线机
固定盖板和预分梳板系统
大卷装络筒机
独立传动圆网印花机
仨名耐腐蚀强力色浆泵
CH318型圆网印花机
推荐企业
帝人服装循环再生系统植入中国
·
喷气织机旗舰产品:人性化理念设计SPR700
·
中国恒天:全球纺织业的朋友,中国制造业的骄傲
·
丝普兰喷气织机—科技之美 表里如一
·
锦峰梳棉——做梳棉机的主流厂商
·
国安电子——成功从这里起步
·
上海朝辉——成就朝辉人梦想 做世界一流品牌
·
宝花从这里走向世界
·
润源经编——经编未来 无限可能
·
APT亮相环渤海经济圈(西门子)
·
光洋电子——编码器制造专家
精品推荐
·
黄石纺机:优秀的印染成套设备制造商
·
青岛云龙——云卷云舒 龙行天下
·
金蟀织机:促织 为您编织绚丽多彩世界
·
二橡胶:发展品牌战略 必须是更好的
·
无锡中氏——国内著名的粗砂锭翼生产商
·
汇德纺机——汇织天下 德造纺机
·
金运品质 凝聚经典
·
骏达机械——的汽蒸机制造商
·
青岛丰衣——诚信、敬业、创新、自省
·
宇丰化纤以质量求生命,以创新求发展
关于纺机网
|
网络推广
|
栏目导航
|
客户案例
|
影视服务
|
纺机E周刊
|
广告之窗
|
网站地图
|
友情链接
|
本站声明
|