.png)
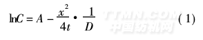
其中A为常数, x为扩散距离, C为薄膜中染料的浓度, t为染色时间,D为扩散系数。
将聚酯薄膜(约0·5g),在10g/L非离子表面活性剂,浴比50∶1条件下80℃处理1小时,去除油剂及油污。把处理好的薄膜卷绕在直径为0·8cm的玻璃棒上,卷绕15~20层,两端用电烙铁封好,使染液不能从两端渗入。最后用细玻璃棒沿薄膜的边沿压紧,并加以固定。
对薄膜实施过量染色(取染料约为10% (o.w.f)), 130℃,保温120分钟。取出染色装置,迅速冷
却。从玻璃棒上揭下薄膜用含1~2g/L表面活性剂的洗涤液于60℃洗净,由于有细玻璃棒压紧,故在薄膜上可形成染色层分界线(如图1所示),沿各分界线剪开,形成薄膜片,不同薄膜片之间染料上染浓度各不相同。
.png)
分别称取上述染色薄膜片,放入索氏提取器,用二甲染料与染色苯在170℃剥色,计算各层染色薄膜上的染料浓度。
根据式(1),以薄膜各层染料浓度的自然对数lnC对x2/4t作图,进行线性拟合,所得的斜率即为1/D。
1·3扩散速率测定
观察上述染色薄膜层数,按以下公式计算扩散速率v[5]:
v=xt(2)
其中x为扩散距离, t为染色时间, v为扩散速率,=n(扩散层数)×L(薄膜厚度),以此测定染料在
薄膜内部的扩散速率。
1·4染色速率常数、平衡上染量及半染时间测定
染色工艺:
涤纶织物:2g 染料量:1% (o.w.f)
染色温度:130℃ 浴比:30∶1
染色时间:1~200分钟
按上述工艺,在不同染色时间下染涤纶,并分别称取0·05g染色样,用二甲苯在170℃下进行多次剥色,剥色至剥色液无色为止。用二甲苯对剥色液定容,用紫外吸光光度计测定其最大吸收波长处的吸光度,计算不同上染时间上染到纤维上的染料浓度(Ct),绘制t-Ct图。
根据t-Ct图建立上染速率曲线模型,从而推算微胶囊化分散染料在高温高压无助剂染色过程中的染色速率常数、平衡上染量及半染时间。
相关信息 







推荐企业
推荐企业
推荐企业