1 前言
珍珠共混再生纤维素纤维(简称珍珠纤维)是一种新型功能性纤维,将纳米级珍珠粉在粘胶纤维纺丝时加人纤维内,使纤维内部和外表面均匀分布着纳米珍珠粒。珍珠纤维是由东华大学和上海新型纺纱技术开发中心合作共同研发的一种新型功能性纤维素纤维,它是采用高科技手段将纳米级珍珠粉在黏胶纤维纺丝时加入纤维内。珍珠纤维含有多种人体所需的氨基酸和微量元素,长期与皮肤接触,具有养颜护肤、抗紫外线、发射远红外线的功效。本文以珍珠纤维及其混纺纱编织的针织物为试样[1,2]。
双氧水(H2O2)/四乙酰乙二胺(TAED)漂白是一种用于纺织品漂白的新方法。它不仅可降低漂白温度,而且可在近中性条件下进行漂白, 故对纤维能起到良好的保护作用同时又能获得良好的漂白效果, [3,4]。H2O2/TAED对一些纤维的漂白已有文献报道,但还未见其应用于珍珠纤维制品漂白的报道[3-5]。本项目采用TAED作为双氧水漂白活化剂,探讨珍珠纤维漂白工艺条件,通过测定纤维制品的白度和顶破强力来确定珍珠纤维低温漂白的最佳工艺条件。
2 实验和测试
1.1 材料
珍珠纳米颗粒/粘胶共混纤维纬编针织物
1.2 试剂
30%过氧化氢(分析纯,国药集团化学试剂有限公司);氢氧化钠(分析纯,上海试剂一厂);四乙酰乙二胺(TAED)(工业品,浙江金科化工股份有限公司);硅酸钠(分析纯,上海凌峰化学试剂有限公司);渗透剂JFC(工业品,江苏省海安石油化工厂)
1.3 仪器
HD026N+ 电子织物强力仪(南通宏大实验仪器有限公司);AL-104型电子天平(梅特勒-托利多仪器(上海)有限公司);Jenco 6173型数字酸度计(上海任氏电子有限公司);RY-25012型常温振荡型染样机(上海隆灵实验设备有限公司);Datacolor650分光测色仪 (广州市艾比锡科技有限公司);电热恒温鼓风干燥箱(上海森信实验仪器有限公司)
1.4 工艺条件
n(H2O2):
100%H2O2(g/L) 2~10
纯碱(g/L) 3
硅酸钠(g/L) 0.5~4
浴比 1∶50
漂白方法 室温下配置漂白液,投入珍珠纤维针织物,升温至一定温度后保温一段时间;漂白后充分水洗,在90℃烘箱下烘干。
1.5 性能测试
(1)白度测试:将所漂织物烘干后, 用白度仪测试白度指标。
(2)织物顶破强力测试:根据GB/T19976-2005,测织物的顶破强力。
2 结果与讨论
本文先采用单因素法,研究各工艺因素对H2O2/TAED低温漂白体系效果的影响及作用机理,随后用正交试验法兼顾各因素的影响进一步优化工艺。
2.1 H2O2质量浓度对漂白效果的影响
H 2 O 2 是漂白液的主体成分,对漂白效果起主要作用,故先分析H2O2质量浓度对漂白效果的影响。图1示出H2O 2质量浓度对漂后织物白度和顶破强力的影响,其他工艺条件为n(TAED):
n(H2O2)=1:2,硅酸钠2g/L;70℃, 60min, 浴比 1:50
|
|
| 图1 |
由图1可知,工作液中H2O2的质量浓度从2增加到8g/L时,织物白度提高显著;当H2O2质量浓度达到8g/L,织物白度达到78.9;此后,随着H2O2质量浓度进一步提高,织物白度提高甚微。这是由于在碱性条件下,活化剂TAED发生水解反应而形成过醋酸造成的(反应历程见图3) ,过醋酸具有比H2O2更强的氧化性能,随着工作液中H2O2质量浓度的增加,体系中有效漂白成分也随之增加,故漂白效果显著提高。当H2O2质量浓度过高时,由于体系中生成过乙酸的速率远高于漂白反应的速率,使过量的活泼过醋酸无效损失,因而织物白度不再随H2O2质量浓度的增加而提高。也可能是由于体系中其他成分含量的限制,致使生成的有效漂白成分含量不再随H2O2质量浓度的提
2.2 H2O2/TAED摩尔比
图2示出H2O2/TAED摩尔比对漂后织物白度和顶破强力的影响,其他工艺条件为H2O2(100%)=8g/L,硅酸钠2g/L;70℃, 60min, 浴比1∶50
|
|
| 图2 |
由图2可知,随着H2O2/TAED摩尔比的增加,白度先显著提高,随后又有一定程度的下降。而强力则随着H2O2AED摩尔比增加而有下降。这些变化与H2O2和TAED的反应属性有关
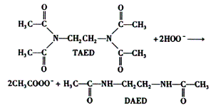
TAED与H2O2的反应式如下:
图3
在碱性条件下,H2O2快速生成HOO-,然后TAED与HOO-反应生成乙酸根负离子和二乙酰乙二胺(DAED),反应生成的过乙酸具有比H2O2更强的漂白作用。H2O2与TAED的理论反应摩尔比为2:1。当摩尔比小于2:1时,白度不是太高。这是因为漂液中产生的过乙酸较少,虽然此时H2O2过量,但是其氧化能力不如过乙酸,而且在低温下H2O2难以发挥漂白效果。当摩尔比大于2∶1,织物白度又有所下降。这可能是因为摩尔比为2∶1时,TAED与H2O2已经完全反应,随着摩尔比升高,TAED过量,与H2O2的反应率提高,生成的过乙酸也随之增多,双氧水的无效分解增加。由于摩尔比为2∶1时,已能获得较高的白度,故从成本等因素考虑,建议采用该摩尔比。
2.3 时间对漂白效果的影响
图4示出时间对漂后织物白度和顶破强力的影响,其他工艺条件为H2O2(100%)=8g/L,n(TAED):n(H2O2)=1:2,硅酸钠2g/L;70℃, 浴比1∶50
|
|
| 图4 |
由图4可知,时间在40min时, 织物白度达到最高。时间再继续延长, 白度提高幅度很小。由于过氧化氢漂白本身就是在碱性条件下进行的, 而早高温碱性条件下,氧对粘胶纤维的氧化、裂解作用十分明显。这就导致了过氧化氢漂白时, 时间越长, 纤维强力下降就越多。鉴于上述的原因,过氧化氢漂白时, 在白度达到一定水平时, 就应适时结束漂白, 防止再生纤维素发生氧化反应,形成一系列的氧化中间产物,尤其是在连续化加工中, 更应注意控制工艺条件, 否则, 氧化剂可将纤维的无定形区和晶区表面的纤维素分子氧化成一系列氧化态的中间产物, 这些中间产物的结构不稳定, 虽然纤维的强力暂时无明显变化, 但在后序加工时易造成纤维强度下降, 即形成潜在损伤。
2.4 温度对漂白效果的影响
图5示出温度对漂后织物白度和顶破强力的影响,其他工艺条件为H2O2(100%)=8g/L,n(TAED):n(H2O2)=1:2,硅酸钠2g/L;50min,浴比1∶50
|
|
| 图5 |
从图5中我们可以看出, 随着温度的升高, 织物的白度增加, 顶破强力下降,温度在70℃时白度已经比较高了, 继续提高温度,白度提高不显著,强力下降明显,双氧水的无效分解增加。所以漂白最佳温度定在70℃。
2.5 硅酸钠用量的影响
图6示出温度对漂后织物白度和顶破强力的影响,其他工艺条件为H2O2(100%)=8g/L,n(TAED):n(H2O2)=1:2,50min,温度70℃,浴比1∶50
|
|
| 图6 |
双氧
由图6 可以看出,珍珠纤维漂白样品的白度随硅酸钠浓度的增加而提高,但是提高到一定程度后反而下降,而硅酸钠对织物的强力损伤是很小的。原因是随着稳定剂用量增加,双氧水稳定性提高,但是如果过量使用反而会使稳定性降低。从样品的白度和强力综合考虑,硅酸钠的用量以2g/L为宜。
2.6 双氧水漂白工艺优化
在单因素影响双氧水低温漂白珍珠纤维效果的基础上,利用L16(45)的正交试验确定双氧水漂白的优化工艺。因素表如表1所示。分析指标选择白度和顶破强力,正交试验结果如表1所示,极差分析如表2所示。
表1 漂白因素水平表
| <!--[if !supportEmptyParas]--><!--[endif]--> | A | B | C | D | E |
| 因素 | H2O2/TAED 摩尔比 | 双氧水100% /(g/L) | 时间 /min | 温度 /℃ | 硅酸钠的用 量/(g/L) |
| 水平 | 2 | 1:1 | 30 | 50 | 1 |
| 4 | 1.5:1 | 40 | 60 | 2 | |
| 8 | 2:1 | 50 | 70 | 3 | |
| 10 | 4:1 | 60 | 80 | 4 |
表2 珍珠纤维漂白的正交实验结果
| 试验号 | 因素 | 实验结果 | |||||
| A | B | C | D | E | 白度/% | 顶破强力 | |
| 1 | 1:1 | 2 | 30 | 50 | 0.2 | 80.83 | 373.5 |
| 2 | 1:1 | 4 | 40 | 60 | 0.4 | 82.26 | 369.6 |
| 3 | 1:1 | 8 | 50 | 70 | 0.6 | 84.45 | 377.6 |
| 4 | 1:1 | 10 | 60 | 80 | 0.8 | 85.69 | 307.8 |
| 5 | 1.5:1 | 2 | 40 | 70 | 0.8 | 81.34 | 385.5 |
| 6 | 1.5:1 | 4 | 30 | 80 | 0.6 | 84.56< | 347.6 |
| 7 | 1.5:1 | 8 | 60 | 50 | 0.4 | 84.26 | 366.1 |
| 8 | 1.5:1 | 10 | 50 | 60 | 0.2 | 85.39 | 338.1 |
| 9 | 2:1 | 2 | 50 | 80 | 0.4 | 87.51 | 392.8 |
| 10 | 2:1 | 4 | 60 | 70 | 0.2 | 88.34 | 347.2 |
| 11 | 2:1 | 8 | 30 | 60 | 0.8 | 89.68 | 383.9 |
| 12 | 2:1 | 10 | 40 | 50 | 0.6 | 88.98 | 360.2 |
| 13 | 4:1 | 2 | 60 | 60 | 0.6 | 83.56 | 353.3 |
| 14 | 4:1 | 4 | 50 | 50 | 0.8 | 82.56 | 351.4 |
| 15 | 4:1 | 8 | 40 | 80 | 0.2 | 85 | 361.5 |
| 16 | 4:1 | 10 | 30 | 70 | 0.4 | 88.58 | 387.6 |
| 白度 | k1 83.308 | 83.310 | 85.912 | 84.157 | 84.890 | ||
| k2 83.888 | 84.430 | 84.395 | 85.223 | 85.653 | |||
| k3 88.628 | 85.847 | 84.978 | 85.678 | 85.388 | |||
| k4 84.925 | 87.160 | 85.462 | 85.69 0 | 84.818 | |||
| R 5.320 | 3.850 | 1.517 | 1.533 | 0.835 | |||
| 强力 | k1 323.875 | 346.300 | 326.250 | 333.400 | 328.05 | ||
| k2 327.475 | 339.525 | 329.100 | 326.775 | 323.5 | |||
| k3 337.575 | 321.775 | 346.100 | 331.300 | 340.025 | |||
| k4 333.350 | 314.675 | 320.825 | 330.800 | 330.7 | |||
| R 13.7 | 31.625 | 25.275 | 6.625 | 16.525 | |||
根据正交试验的直观分析,各因素对织物白度影响的重要性依次为:A>B>D>C>E, 且各因素的最佳条件为: H2O2(100 %)用量10g/L, n(H2O2):n(TAED)=2:1,硅酸钠3g/L, 温度70℃, 时间60min。各因素对织物强力影响的重要性依次为:B>C>E>A>D,且各因素的最佳条件分别为: H2O2(100%)用量2g/L, n(H2O2):n(TAED)=2:1,硅酸钠3g/L, 温度50℃, 时间40min。因此,综合各因素对白度和强力的影响,以对白度的影响为主,确定各因素最佳条件分别为: H2O2(100%)用量8g/L,n(H2O2):n(TAED)=2:1,硅酸钠3g/L, 温度70℃,时间50min。在此最佳条件下进行补充试验,结果为:漂白后织物白度86.86,强力330.6N,与未漂白原样相比,白度提高60.2% ,强力下降10.4%。
3 结论
(1)在H2O2/TAED漂白体系中,活化剂TAED的加入,使之产生了漂白能力比H2O2更强的过醋酸使该体系具有比传统的H2O2/NaOH 体系更有效的漂白性
(2)H2O2/TAED活化体系应用于珍珠纤维低温漂白的合适工艺条件为: H2O2(100%)用量8g/L,n(H2O2):n(TAED)=2:1,硅酸钠3g/L, 温度70℃,时间50min。
(3) 与传统的珍珠纤维漂白工艺相比, H2O2/TAED活化漂白工艺可以在保证漂白效果的前提下,显著降低漂白温度,对于印染业的生态环保、节能降耗具有重要意义。
相关信息 







推荐企业
推荐企业
推荐企业