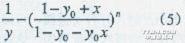
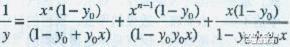
一般洗涤中使用温水的买例很多,这时,采用这种逆流方式对节能有利。 由表1可以看出:逆流用水量仅为各槽自供的40%,且洗涤效果好。逆流供水由于用水少,因此,升温用的蒸汽亦降低。 5槽平洗槽自给水每小时补充的水(溢流排出水量)约为7.5 t,逆流水洗每小时溢流排出水量为单台自给水的2倍(3t),而总的溢流排水量仅是自给水的40%。每年按6000h工作计,节约的60%水量就是27kt,节省蒸汽2.7k。 3.2振荡水洗提高扩散能力,缩短扩散路程。 声化学加工的潜在利益极高。使用声波在液体一介质中振动,可以粉碎工艺液体中的聚合体,增加洗涤剂的表面活性,在退、煮、漂工艺水洗中,可提高化学药剂的扩散速度、活化助剂和促进反应。声波弹性振动具有分散、脱气及扩散功能。在弹性振动下,化学品的微粒集聚体被分解成均匀的分散体,提高了化学助剂的扩散、渗透速度。在声波的作用下,介质(溶液)中的粒子振荡,其方向与波的传播方向平行而形成纵向波,而分子的纵向振动产生压缩和稀疏现象,即高和低的局部压力区,产生闸阀效应,把溶液或截留的气体、空气分子,从织物纱线的交织点处、纤维间隙处和毛细管内驱赶到溶液中,随之排除,这就是声波的脱气功能。洗涤液的搅拌振荡,洗涤速度是按指数倍率加快的。提高洗液温度和采用搅拌振荡洗液,都是致力于破坏“
相关信息 







推荐企业
推荐企业
推荐企业