陈立秋 前处理工艺装备近年来节能减排方面有着明显的进步。这是形势所逼,环保法规的严要求,企业生际必须降低生产成本,压力转化为动力,出现了高效的烧毛装备,高给液冷轧堆、轧蒸工艺的应用,各种高效水洗工艺装备,湿布丝光、扎堆丝光工艺的应用,色织布脱色扩散蒸发烧碱回收装置应适而生。
1.节能降耗的烧毛工艺装备 烧毛工艺质量的优劣直接影响纺织品最终外观、实物档次、风格反服用性能。为去除暴露在纱线表面的纤维末端,必须进行烧毛工艺。未烧毛的织物比已烧毛的易沾污,优良的烧毛质量,令布面光洁滑爽。染色色泽鲜艳度高,干、湿摩擦牢度好,正确的烧毛工艺则可有效地改善麻类织物刺痒感;灯芯绒经火焰喷射,圆筒接触烧毛后,既能将沟坑中绒毛去除,又能使条绒顶部圆润。令布面条纹清晰,且带有神秘的光艳:合成纤维经烧毛后,起球现象极大改善;采用先进的接触烧毛机。对小棉结较多的坯布,能提高小棉结的去除率,从而减轻前处理退浆、精练的负担;深色匹染产品的云斑,往往因布面突出的纤维形成漫反散所致,经烧毛工艺后,云斑得以防止;而经烧毛的优质半制品,则是精细印花的前提。上述种种情况表明,烧毛工艺极其重要、不可而缺。 就烧毛工艺而言,节能、降耗、少污染是当前发展的方向。应用高效节能火口和无烟尘污染烧毛单元装置,合理控制火焰幅宽、最佳油气比,是染整企业设备选型、老机改造的首选方案。 1.1高效低成本的电热接触烧毛 接触式烧毛是纯棉、麻类和绒类织物前处理烧毛工序中极为重要的技术方案。 国产铜板烧毛机,技术含量低、耗能高、工人劳动强度大、烟气污染严重,不适应现代清洁生产的需要。引进的日本圆筒接触式烧毛机,其结构是以灼热转动的金属圆筒为主的加工装置,圆筒的一端有一个轴向喷射式燃烧器,其圆形火焰喷射口正对着圆筒内腔,喷射出杏黄色大火焰。圆筒的另一端接连烟囱,其燃烧产物、热烟气从烟囱中排出。该设备喷嘴易堵塞,能耗很大,烟气污染重。从烧毛加工
图1 自动摔制火焰高唐、幅帘启动流程 扬州志成纺织机械有限公司制造的Y型多混聚喷2.高给液冷轧堆、轧蒸工艺 染整企业水电汽的高消耗,成本飚升,迫使传统的退浆、煮练、漂白冗长复杂的前处理工艺流程更新。短流程必然导致化学品浓度的增加,浓度高将引起溶液发生沉淀和分解,不利于工艺液在织物上渗透、扩散,给织物、机器和操作者本身带来或多或少的危险性。因此,在化学品总量不变,降低浓度,必须提高织物的带液量,而透芯高给液就成为前处理短流程工艺的关键了。 湿-湿加工中给液是完善的前处理的关键,对织物进行最佳的施加溶液是非常重要的,这就是说:将化学品助剂施加到正确的地方,即在织物幅宽上、长度上及横截面上的均匀透芯分布;只施加上必要的量,即织物所能带的最高液量,无工艺溶液从织物上淌滴流失。对一台先进的给液设备应符合:高度的气液交换;小液量浸渍槽;可控制的给液;施加结果的重现性。 高给液装置是前处理短流程工艺条件的核心装备。高给液装置是冷轧堆碱氧一浴工艺、快速高效练漂和酶退浆、煮练工艺的关键单元机。低浓度高液量的工艺液均匀渗透织物,是确保织物装置在反应过程中,能安全地充分完成化学和物理的各项萃取作用,为去杂、净洗奠定基础;是改变“表面文章”的浸渍、轧
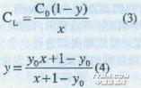
1-可调压力加压辊;2-主动辊;3-液下导布辊;4-固定波形槽板;5-可升降活动波形板;6-升降气缸;7-进布辊;8-出布辊;9-回液管;10-进液管;11-刮液器;12-小轧车;13-泵;14-加压汽缸;15-机架;16-液槽;17-清洗排放管路;18-液面 图2 LK-I高给液装置示意 施液特点:①波形狭缝槽在织物通过工艺液时形成湍流,对织物实施搓揉,利于渗透;②创新的液下轧液,令织物中空气压出,出轧点卸压,织物仍在液下进给,织物纤维的回弹,形成一定量的真空区,较长的后续增液槽中工艺液在大气压力下,以及波形板形成的湍流下,逼迫渗入织物的经纬纱线的交织间隙及纤维的毛细管道内,完成透芯施液过程;⑨为提高高给液的均匀度,液下轧车采用中固辊;④气动隔膜泵(13)连接进液管(10)、回液管(9),脉冲输液,有利于透芯施液;⑤根据不同织物组织结构,施液量可调节在100%~150%,织物进给中,表面无滴水、淌水现象。工艺实践佐证:提高织物的反应效果;节省化学品助剂。 2.2某公司采用高给液装置技术改造,打卷采用牛心收卷、堆置,不仅毛效、白度优于传统的两浸两轧被动打卷,而且化学品助剂成本减少了一半,使碉氧一浴法工艺成本下降到退煮漂三步法的45%。 2.3网帘式组合蒸箱由于汽蒸时间长,时有树枝、鸡爪褶皱痕发生,经将进布处浸轧槽、轧车换成高给液后,低浓度大液量的工艺溶液透芯渗入织物,确保织物堆置反应过程中能充分完成化学的和物理的各项萃取作用,为去杂、净洗奠定基础;进入组合蒸箱后,是有效防范风干痕、横档痕、碱斑、褶皱渚多弊端的重大对策。 2.4丝光轧碱采用透芯高给液,有利将黏度大的工艺浓碱液输送至纤维的“无定形区”,为碱水化合物通畅地3.节能减排的水洗工艺技术 高效水洗应符合费克定律的传质要旨水洗物质交换方程式如下: G=(D/H)/(C1-C2) (1) 上式(1)可知,要达到高效水洗的效果,重要我是具有高扩散系数(D);高的浓度梯度(C1-C2),C1是织物上污物浓度、C2是洗液内污物浓度;缩短扩散路程(H)。 3.1提高浓度梯度的逆流水洗 实际洗涤时,从节能的观点出发,也需要尽量减少用水量,但减少用水量,从织物上落入洗涤液的洗除物使洗涤液更污秽,洗涤效果会随之降低。在其他条件完全相同,仅仅改变洗涤液的浓度的情况下,洗除物残留率用式(2)表示:
式中,CL为洗涤液中洗除物的浓度,g/mL;C0为洗涤前织物上洗除物的浓度,g/mL;y0为在同一条件下,采用完全不含洗除物的洗涤液洗涤时,洗除物残留率。 该式是假定洗涤前后织物中的水分不变,纤维不对洗除物选择性吸收的情况下的公式,同实验结果非常一致。 假如使用的洗涤水为织物中所含水分的X倍,由于物质均衡,式(3)便成立,且由式(2)和式(3),可以导出式(9):
图3表示洗涤液中,洗除物浓度为零时残留率为1/2和1/10两种情况,由式(4)计算得出的洗涤,水量同洗除物残留率的关系。 洗涤效果不良的机器(yo=1/2),即使增加用水量,洗涤效果提高也不显著。在这种情况下,常常用提高洗涤温度或延长洗涤时间等方法来提高洗涤效果,而用减少洗涤水量来达到节能的目的。
相反。洗涤效果良好的机器(y0=1/10),多量地使用洗涤水有效果。但在这样的情况下,可以分为几种方式,后述以逆流方式使用洗涤水来节约洗涤水,是其中一种方式。
相关信息 







推荐企业
推荐企业
推荐企业