不少业内同仁认为,织物在平幅加工过程的张力应该是愈小愈好.小了对织物的牵伸量减小.有利于减轻后整理时的预缩工作负荷:也有的认为:织物平幅加工过程的张力多大为好,要看工艺的具体情况,在某些工况中,张力可能是小了好.而另一些工况却要求织物承受一定的外加张力,以期符合工艺的要求。平幅加工联合机在机张力不是恒定低张力。请广大读者参与讨论。
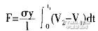
李清:根据胡克定律.织物的张力
式中:σ—— 织物的截面积:y—— 织物的弹性模量:L—— 两个传动点间距离:t1—— 织物启动时间。由式可知.织物作为张力调节对象是个积分过程。在稳定运行中,不论V1或V2(两个传动点的线速度)有任何波动,都将引起织物张力波动。设织物的弹性系数为Kf,根据胡克定律
,当v2(t)-v1(t)为常数,则
即张力恒定不变。欧洲的同行认为两导布辊中间距除以导布辊直径商小于6为好,不易起皱,为什么呢?由胡克定律解释可知,织物运行张力与两传动质点问的距离成反比,那么商大于6意味中心距长,则张力小.而织物运行张力过小,布幅在导布辊上不易包裹平覆,织物进给中会晃动,在导布辊上易游动。从而导致起皱。水洗箱、汽蒸箱外轴承,确保导布辊间的平行,织物平直导布,不易起皱。然而一台平洗箱出布处的松紧架.由内辊承汽缸加压1.5 kg/cm2(0.15 MPa)上升到外辊承汽缸加压时的3.8 kg/cm2(0.38 MPa),原因是防止外辊承机械密封处漏水.因此将密封件收得很紧.织物牵曳导布辊的拉力(摩擦阻力)提高到253%,这样,一方面织物因经向张力过大而导致直条皱纹:另一方面织物经向的预缩率将大大地增加,对纺织品尺寸的稳定性不利。预缩工艺织物若超喂松弛地贴在加压辊上半周上的橡胶毯外表进入轧点,收缩效果(在67 mm厚橡胶毯、承压辊直径为61
相关信息 







推荐企业
推荐企业
推荐企业