现行蚕茧在烘茧、煮茧、缫丝时都是雌雄混合,只能缫制雌雄复合丝,很难批量生产出6A级高品位生丝[1]。雄蚕丝跟雌蚕丝相比它具有茧丝及解舒丝长,出丝率高,茧丝纤度细,净度优,丝色亮丽的优点,是目前国内唯一具备缫制6A级高品位生丝条件的蚕丝[2]。传统生产雄蚕丝的蚕品种有:温敏致死效应蚕品种、性连锁平衡致死蚕品种、家蚕限性品种,这些品种存在着:成活率低、缫制生丝难度高、蚕农的劳动强度大、茧丝质量差等问题,因此很难大批量得到纯正的雄蚕丝[3]。近年来,我国通过基因工程的方法将普通蚕品种转育成荧光茧色判性蚕品种,在保持现行蚕品种优良性能的基础上,利用雌雄茧在紫外线灯光下所发射出来颜色的不同而实现雌雄茧分离,鉴别的成功率已高达100%,进而可以做到雌雄茧分开缫丝,极具市场前景[4-5]。目前对雄蚕丝的报道不多,尤其对它的染色性能没有详细的报道。本文通过研究直接染料锡利黑VSF在雄蚕丝上的染色速率、染色扩散系数、半染时间和染色速率常数等动力学指标来研究雄蚕丝的染色动力学性能。
1 实验
1.1 材料及药品
脱胶后雄蚕丝(江苏民星茧丝绸股份有限公司);脱脂棉(上海银京义勇卫生材料有限公司),锡利黑VSF(德斯达公司),元明粉(分析纯,国药集团化学试剂有限公司)。
1.2 染色方法
将染料1%(o.w.f)、元明粉35g/L和水配制成染液,浴比1:50,升温至一定温度后投入纤维,在染色过程中每隔一定时间取样测吸光度,计算上染百分率。
1.3 上染百分率(E%)的测定
采用残液比色法测定, 染液的吸光度在UV2000紫外可见光分光光度仪上测定,采用1cm的比色皿,E%按下式计算:
| E%=( | A1 | )×100% |
| A0 |
式中,A
2 结果与讨论
2.1 染色速率曲线
根据1.2中的染色方法,分别测定在70,80,90℃下直接染料锡利黑VSF对雄蚕丝的染色速率曲线,结果见图1。
|
|
|
|
| (a)℃ | (b)℃ | (c)70℃ |
| 图1 | ||
染色速率曲线是染料在纤维上的扩散性的表征,曲线的斜率反映了染料在纤维上的上染速度。由图1可见,在染色的初始阶段上染迅速,随着上染的进行上染速率降低,最终趋于稳定。这说明较多的染料吸附发生在染色的最初阶段。在同一上染时间,染料在雄蚕丝上的上染百分率要高于棉纤维,说明直接染料在雄蚕丝上比棉要有较好的染色性能。
2.2 染色扩散系数
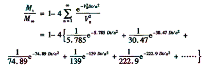
扩散系数作为染料上染纤维的一个动力学的特征参数,可以用来评价不同染料在同一纤维上的扩散行为,不同纤维对于同一染料的扩散渗透性,以及上染条件对染料-纤维体系扩散性的影响[6-7]。影响染料扩散系数的主要因素为染料用量及分子结构、纤维材料性质和染色温度等。本实验用希尔公式测定扩散系数,该数学模型适用于染料从无限染浴向无限长的圆柱状纤维上染的动力学过程。通过测定纤维直径和半染时间,即可计算出直接染料在纤维中的扩散系数。此方法操作简单,但所使用纤维的截面必须呈圆形,且纤维皮层的存在、截面的不规则性、纤维结晶度及取向度等因素都可能给试验带来误差。希尔公式如下:
式中:M—纤维上吸收的染料量;
D—扩散系数;
t—染色时间;
Vn—第n个测试纤维半径;
—纤维半径。
希尔公式为一无穷递减级数,实际计算比较困难
表2 雄蚕丝和棉纤维锡利黑VSF染色的扩散系数
| 时间/s | D×109/(cm.s1) | |||||
| 90℃ | 80℃ | 70℃ | ||||
| 雄蚕丝 | 棉纤维 | 雄蚕丝 | 棉纤维 | 雄蚕丝 | 棉纤维 | |
| 10 | 17.696 | 13.378 | 14.924 | 12.621 | 5.473 | 3.266 |
| 30 | 8.510 | 8.483 | 7.366 | 5.181 | 3.613 | 3.301 |
| 50 | 7.095 | 6.325 | 4.649 | 3.523 | 2.693 | 2.326 |
| 70 | 5.891 | 4.514 | 3.008 | 2.874 | 2.380 | 2.168 |
由表2可见D值随着染色时间的增加而减少,随染色温度的提高而增大,且在同一温度同一时间下,雄蚕丝扩散系数始终高于棉纤维。这是由于雄蚕丝的结晶度低于棉纤维的缘故。这些结果恰与扩散系数主要取决于纤维的物化性质的结论相吻合。
2.3 半染时间
染料上染达到平衡吸附量一半所需要的时间称为半染时间,以t1/2表示。它表示上染走向平衡的速率。由参考文献9中和的对应关系可以知道,当吸尽率达到50%时有=0.5,=0.06292,所以t1/2=0.06292×2/D。由此可以看出半染时间t1/2与扩散系数D成反比,与纤维半径的平方成正比。根据图1中上染速率曲线,雄蚕丝和棉纤维在70、80、90℃的半染时间见表3。
表3 雄蚕丝和棉纤维的半染时间
| 温度/℃ | t1/2/min | |
| 雄蚕丝 | 棉纤维 | |
| 70 | 12 .459 | 18.528 |
| 80 | 5.740 | 6. 723 |
| 90 | 5.273 | 6.286 |
在充分搅拌的无限染浴上染的情况下,染液中染料到达纤维表面的速率足以使纤维表面染料浓度保持恒定。染料的继续上染有赖于表面染料向纤维内部不断扩散。但是在有限染浴条件下,情况便有所不同。由表3可以看出,半染时间不是常数,它随平衡上染百分率高低而不同。一般来讲,其他条件相同,平衡上染百分率越高,半染时间越短。
2.4 比染色速率常数
在实际应用中,很难通过半染时间来准确表达染料在纤维上的染色速率,有时在平衡上染百分率不同时,半染时间有可能是相同的。这时单纯通过半染时间难以准确地判断染色速度的大小,而必须同时考虑半染时间和平衡上染百分率。而比染色速率常数综合考虑了半染时间、平衡上染百分率以及纤维直径对染色速度的影响,所以用比染色速率常数判断染色速度的大小比较准确。
在实际数据处理过程中,大多采用下式,根据半染时间t1/2来推算比染色速率常数[10]:
K'=0.5C(dt1/2)1/2
式中,C是在纤维与染浴之间平衡的条件下,纤维上染料的吸尽百分率,d是纤维直径。根据比染色速率常数的公式所求的雄蚕丝和棉纤维的比染色速率常数结果见表4。
表4 雄蚕丝和棉纤维的比染色速率常数
| 温度/℃ | K'×103/(cm-1/2·min-1/2) | |
| 雄蚕丝 | 棉纤维 | |
| 70 | 2.943 | 2.347 |
| 80 | 5.710 | 4.630 |
| 90 | 6.583 | 5.325 |
由表4可知,在同一染色温度下,染料在雄蚕丝上要比棉纤维的染色速度要快,且染色速度受温度的影响较大,扩散速度随着温度的提高而提高,这个结果与扩散系数和半染时间的结果相一致。
3 结论
染色速率曲线直观地描述了雄蚕丝的染色动力学特性优于棉纤维。在同一染色条件下,测定染料对雄蚕丝、棉在不同时间段染色的扩散系数。结果显示:雄蚕丝的扩散系数较大,且随染色时间的增加而减少,随染色温度的增加而增大。由半染时间、平衡上染百分率、扩散系数以及比染色速率常数可知,直接染料对雄蚕丝的上染性能比棉纤维要好。
相关信息 







推荐企业
推荐企业
推荐企业