首页
棉纺
纺纱
织造
织机
针织
染整
化纤
无纺
技术
百度
谷歌
雅虎
必应
搜狗
搜搜
公司
产品
导购
样本
名片
视频
图片
新闻
技术
黄页
棉纺
纺织原料
开清棉
梳棉
精梳
并条
粗纱
细纱
络并捻
纺纱
环锭纺
转杯纺
喷气纺
涡流纺
摩擦纺
紧密纺
假捻变形
空气变形
热流变形
多重变形
织造
整经
浆纱
穿结经
卷纬
开口
引纬
打纬
卷取
送经
织机传动
织造工艺
织机
剑杆织机
喷气织机
喷水织机
片梭织机
片梭织机
多臂装置
提花装置
折入边装置
针织
纬编
织袜
经编
染整
前处理
染色
印花
后整理
染化料
测试
环保
化纤
人造纤维
合成纤维
化纤设备
无纺
干法成网
湿法成网
纺丝成网
针刺加固
热粘合
化学粘合
熔喷工艺
您所在的位置:
纺机网
>
技术中心
>
后整理
>
打印
字号
大
中
小
收藏
竹/棉织物的壳聚糖抗皱的抗菌整理研究
来源:安徽工程科技学院 陈翟,黄小华 发布时间:2011年01月28日
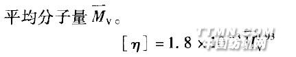
壳聚糖是甲壳质脱乙酰基后的产物,是由葡萄糖结构单元组成的直链多糖,不仅具有良好的生物活性和可降解性,还有突出的抗菌性,因而广泛应用于生物、化学、纺织印染等领域。近年来,壳聚糖在纺织品抗皱抗菌方面的应用已成为一大热点。本项目研究用不同分子量壳聚糖柠檬酸溶液整理竹/棉织物,测试其抗皱性能,以及对金黄色葡萄球菌、大肠杆菌的抗菌性能,得到了最佳工艺处方。 1 试验1.1 材料与设备材料退浆竹/棉(70/30)织物,壳聚糖(山东青岛金湖甲壳制品有限公司),柠檬酸,次亚磷酸钠,氢氧化钠,冰乙酸,氯化钠,金黄色葡萄球菌(ATCC6538),大肠杆菌(8099),营养琼脂培养基,磷酸盐缓冲液(PBS,0.03 mol/L,pH值7.3)。设备LFY.210A织物折痕恢复测定仪,真空泵,酸度计,电热式蒸汽消毒器,恒温振荡器,电热恒温培养箱等。1.2 不同分子置壳聚糖的制备将壳聚糖按1:20的比例,加入到质量分数为2%的乙酸中,加热至80℃ ,充分搅拌使其完全溶解;采用质量分数为30% 的过氧化氢作为氧化剂,在1 h内滴加不同量的过氧化氢,于前述壳聚糖溶液中,搅拌4 h,制备不同分子量的壳聚糖 。1.3 织物的整理工艺(1)煮漂工艺处,Y/( L)100% 氢氧化钠 2.5煮练剂ZC6 130%双氧水 6.5双氧水稳定剂PRC 0.5(2)织物的壳聚糖整理工艺整理液处方/%水解壳聚糖 x柠檬酸 y次磷酸钠 6整理工艺 二浸二轧(轧余率80%)一预烘(80 oC X 3 min)一烘焙(180℃ X 90 s)1.4 测试方法1.4.1 壳聚糖分子量的测试方法用乌氏粘度计以逐步稀释法测定壳聚糖溶液的相对粘度;再用0.1 mol/L的乙酸和0.2 mol/L NaCI为溶剂,在25℃ 时测得其特性粘度
。按下式求得
[1.4.2 抗菌性能测试
1
相关信息
·
最接地气的六碳防水剂,告诉你为什么!
·
防水剂在后整中如何正确使用?
·
油性防水剂在后整中如何使用?
·
现代“软狎甲”:服装也能“刀枪不入”
·
新研制的助剂印染物材的应用
·
防水透湿防紫外线多功能整理涂层织物
·
牛仔布的手感整理
·
防起球整理的几种方法
·
涤纶亲水性后整理的现状
·
羊绒围巾后整理过程中的质量控制
分享
打印
推荐企业
推荐企业
推荐企业
精品企业
·
喷气织机旗舰产品:人性化理念设计SPR700
·
高速并条机——并条机里面的战斗机
·
锦峰棉精梳机:神奇般的梳理效果
·
新型自动络筒机技术的革新
·
温度测量系列——测控专家 源自朝辉
·
润源经编机—国内经编机械制造的领头人
·
APT制造纺织机械专用按钮、指示灯
·
光洋电子DL-06系列整体式PLC
·
LHM1321型磁棒圆网印花机:印花机的代表品牌
·
青岛云龙并条机梳棉机:并人间品质 梳天下纤维
推荐产品
TZ315型大卷装倍捻机
剑杆筘 片梭筘
防尘罩双头激光切割机
高支羊绒搓毛胶板
独立传动圆网印花机
上轴承座、中心管结合件
PT124系列高温熔体压力传感器
织物破裂试验机
五罗拉花式捻线机
固定盖板和预分梳板系统
大卷装络筒机
独立传动圆网印花机
仨名耐腐蚀强力色浆泵
CH318型圆网印花机
推荐企业
帝人服装循环再生系统植入中国
·
喷气织机旗舰产品:人性化理念设计SPR700
·
中国恒天:全球纺织业的朋友,中国制造业的骄傲
·
丝普兰喷气织机—科技之美 表里如一
·
锦峰梳棉——做梳棉机的主流厂商
·
国安电子——成功从这里起步
·
上海朝辉——成就朝辉人梦想 做世界一流品牌
·
宝花从这里走向世界
·
润源经编——经编未来 无限可能
·
APT亮相环渤海经济圈(西门子)
·
光洋电子——编码器制造专家
精品推荐
·
黄石纺机:优秀的印染成套设备制造商
·
青岛云龙——云卷云舒 龙行天下
·
金蟀织机:促织 为您编织绚丽多彩世界
·
二橡胶:发展品牌战略 必须是更好的
·
无锡中氏——国内著名的粗砂锭翼生产商
·
汇德纺机——汇织天下 德造纺机
·
金运品质 凝聚经典
·
骏达机械——的汽蒸机制造商
·
青岛丰衣——诚信、敬业、创新、自省
·
宇丰化纤以质量求生命,以创新求发展
关于纺机网
|
网络推广
|
栏目导航
|
客户案例
|
影视服务
|
纺机E周刊
|
广告之窗
|
网站地图
|
友情链接
|
本站声明
|