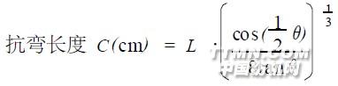
2、3、2 抗弯长度采用斜面法[5 ] ,试条滑出长度L 可由滑板移动的距离得到,由此计算出有关织物的刚柔性指标抗弯长度C。
式中L 为滑出长度(cm) ,当θ= 45°时,C =0、487L (cm) 。2、3、3 摩擦系数采用中华人民共和国纺织工业部部颁标准FJ - 552、1 - 85 测试。2、3、4 断裂强力和断裂延伸度采用YG026 型织物断裂强力测试仪,选用A量程,拉伸速度150mm/ min[5 ] 。
相关信息 







推荐企业
推荐企业
推荐企业