纺织品尤其是贴身穿着的纺织品,在皮肤、织物和汗水间形成了一个霉菌和细菌繁殖的有利条件如湿度、温度和营养物(排汗、尿),因此成为微生物传播的重要媒介物质,如果纺织品粘上各种致病菌,就会导致各种疾病的发生,如黄色葡萄糖球菌在棉上的生长速度每隔25min几乎成倍增加,而且细菌的分解产物能产生不愉快的气味,甚至造成纺织品的色变,严重影响人类的健康和纺织品自身的服用环境。
由于纺织品与人类生活息息相关,抗菌纺织品的应用能从根本上杜绝人与物、物与物之间的细菌交叉感染,所以在全世界受到了普遍欢迎。而且随着人们的卫生保健意识进一步增强,具有抗菌、防臭保健功能纺织品将成为21世纪人们所需求的高级纺织品之一。
目前在评价抗菌纺织品性能上普遍存在一个误区,就是认为抗菌或抑菌率越高效果就越好,或者认为抗菌织物应该杀死有害的细菌而不伤害益菌。这两种观点都是错误的,事实上细菌没有益菌和害菌之分,适度的细菌对人类是有益的,不论是人类自身的生存,还是地表生物圈的周期变化与持续发展都离不开细菌的作用。因此纺织品抗菌应该以适度抗菌为主,另外要注重抗菌作用的持久性和再生性。
能起杀菌或抑菌的化学材料有几百种,但用于纺织品上的抗菌或抑菌材料主要有天然抗菌剂和合成抗菌剂两大类,合成抗菌剂又分为有机抗菌剂和无机抗菌剂。鉴于单一抗菌剂各自存在的优缺点,为了提高抗菌材料的广谱抗菌性,国内外的研究者都着手研究二种以上的药剂,利用离子交换和多层包覆等技术研制出多种复合抗菌剂,其中无机- 有机复合型抗菌剂的开发成为各种抗菌材料的研究热点,能最大限度的弥补当前两种抗菌剂的不足,发挥各自的长处。复合型抗菌剂是目前抗菌剂研究的热点,它代表了抗菌剂的发展方向,有巨大的开发应用潜力和良好的发展前途。本研究利用天然抗菌剂、有机抗菌剂以及纳米无机抗菌剂进行有效复合,开发出具有适度持久抗菌作用的纳米级再生型复合抗菌剂QP-NK。
1 实验部分
1&mi
实验用织物:羊毛针织物,丝光棉,雀屏化工有限公司提供。
实验用试剂:纳米氧化铁,乙内酰脲衍生物(均为实验室自制),壳聚糖(浙江金壳生物化学有限公司提供),硝酸锌,氢氧化钠(分析纯),其它分散剂、低温粘合剂、交联剂等为市售商品。
1·2 实验方法
(1)纳米氧化钛的掺杂改性
纳米氧化钛的光催化活性一般需要在λ≤387.5nm 的光照下才能被激发,产生电子-空穴对,成氧化-还原体系而具有抗菌作用。为了实现自然光下的光催化抗菌,需要降低氧化钛的禁带宽度,提高其对可见光的敏感性,其中掺杂改性是目前研究较多的措施之一,主要是通过引入一些电子的有效受体,利用其对电子的争夺减少TiO2表面电子-空穴对的复合机会,拓宽光响应范围,提高光子的利用率,从而使TiO2表面产生更多的·OH和O22-。本实验采用硝酸锌对纳米氧化钛实施改性。实验工艺流程图如下:
实验条件:选择平均粒径为10-2Onm的锐态型纳米氧化钛(按专利200310106562.6所述方法制备),在分散剂、超声波、NaOH溶液的作用下配制浓度为2%的纳米氧化钛分散液,调节分散液pH值在9-10,放入温度为70℃的反应槽中,在机械搅拌作用下慢慢滴加浓度为1.0-2.0mol的硝酸锌溶液,控制Ti4+与Zn2+的摩尔比为5:1,反应2小时,然后在室温下陈化5-7小时,过滤,乙醇水洗,80℃下真空干燥,碾磨即得改性纳米氧化铁粉体。改性过程中可能的反应方程式如下:
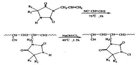
(2)乙内酰脲再生型抗菌剂的合成
0.O5mol DMH(二甲基乙内酰脲)的水溶液25mL,加入0.O5mol KOH,与含0.O5mol烯丙基溴的甲醇溶液1Oml,在60℃搅拌2h。冷却,室温下抽真空干燥,固态从石油醚中结晶。得有机抗菌剂(ADMH)。
丙烯基二甲基乙内酰脲(ADMH)在一定条件下能形成ADMH的
ADMH在引发剂的作用下,在纤维上能通过接枝共聚反应,形成接枝共聚物,经氯化再生后具有较好的抗菌效果和广谱抗菌性。
(3)有机-无机纳米复合再生抗菌剂的研制
将改性纳米氧化钛在一定条件下分散在ADMH和壳聚糖的复合乳液中,通过工艺条件的控制得到相容性好、分散稳定的复合抗菌纳米乳液。基本配方(%):有机抗菌剂15-20,纳米粒子(改性TiO2)1-10,柔软剂0.5-2,分散剂0.1-2,消泡剂0.1-2。
(4)织物抗菌整理工艺流程
织物前处理→ 浸轧/浸渍有机-无机纳米复合再生抗菌剂(2O g/L) → 烘干(100℃,3min)→ 焙烘(160-170℃ ,l-2min) → 功能性整理成品。
1·3 性能测试
(1)采用美国BROOKHAVEN公司生产的9OPLUS型激光粒度分析仪表征整理液中粒子粒度大小及分布,采用JEM-2OOCX透射电镜分析粒子的形貌。
(2)静置分层法观察整理液的分散稳定性:将整理液放在100ml的试管中,每隔一段时间观察分层的高度。
(3)采用测色配色仪测整理前后织物的色变。
(4)抗菌效果由苏州市疾病预防控制中心检测,检测依据《消毒技术规范》。
2 结果和结论
2·1 有机/无机纳米抗菌剂的分散稳定性
|
|
|
| (A)放大10万倍 | (B) 激光粒度分布 |
| 图1有机/无机复合抗菌剂QP-NK透射电子显微镜照片和激光粒度分布 | |
在已有纳米二氧化钛制备技术专利的基础上,通过特殊技术的改性以及纳米材料分散和团聚机理的探讨,已经初步
图1所示为有机/无机复合抗菌剂QP-NK透射电子显微镜照片和激光粒度分析检测结果。
从图I(A) 可以看出,复合抗菌剂QP-NK中的纳米粒子呈规则的球形,粒子分散均匀,无明显团聚现象,粒子周围的浅色为有机抗菌剂,无机纳米粒子均匀的分布在有机抗菌剂中,从放大倍数可以看出粒子的粒径在10-3Onm之间,这说明有机-无机抗菌剂具有较好的相容性。图l(B)的粒度分布图也进一步证实了有机无机抗菌剂良好的相容性。从图l(B)可以看出,抗菌剂中粒子的最小粒径为19.4nm,最大粒径为49.5nm,平均粒径为32.3nm,说明复合抗菌剂中纳米粒子具有良好的分散性。
2·2 有机/无机纳米抗菌剂的应用
丙烯基二甲基乙内酰脲(ADMH)能在引发剂的作用下,通过接枝共聚反应,能固着在纤维上,经氯化再生后,具有较明显的抗菌效果和抗菌持久性。
多组分有机/无机纳米抗菌剂QP-NK经浸渍和烘干的方法处理羊毛织物,在扫描电镜下观察多组分有机/无机纳米抗菌剂在羊毛表面的分布和抗菌有效成分的持久性。结果见图2。
|
|
|
| (a)整理后未水洗 | (b)整理后水洗5次 |
|
|
|
| (c)整理后水洗20次 | (d)整理后水洗50次 |
| 图2 有机/无机纳米抗菌剂QP-NK整理羊毛织物后织物表面扫描电镜图(放大倍数10,000) | |
由图2(a)可以看出,羊毛抗菌整理后其表面形态发生了明显变化,均匀分布着许多细小的粒子,尺寸在纳米级,大约为4Onm左右,这是纳米抗菌性得以发挥的前提和保证。大量研究表明,金属氧化物只有在纳米尺寸范围内才能发挥光催化作用。
从图2(b-d)可以看出,洗涤后纳米粒子数目有不同程度的减少,但即使经过50次水洗仍然可见大量的纳米粒子,这说明有机抗菌剂的超分子固着作用发挥了效果,保证了抗菌作用的持久性。这从下表1的抗菌剂对毛织物抗菌整理后抗菌检测结果也可以得到证实。
表1 抗菌羊毛织物对金葡菌的抑菌试验效果
| 抗菌剂 | 对照组("0"接触时间) | 试验组 | 抑菌率 |
| 平均菌落数(cfu/ml) | 平均菌落数(cfu/ml) | ||
| 有机/无机复合抗菌羊毛 | l6×10 | 21×103 | 8687 |
| 抗菌羊毛洗涤50次 | l6×10 | 36×10, | 7750 |
抗菌检测结果表明,有机/无机复合抗菌羊毛的抑菌率为86.87%,经50次家庭洗涤,抑菌率为77.50%,抑菌保持率达90
2·4 有机/无机纳米抗菌处理对羊毛织物表观色深度的影响
比较了各种不同组分抗菌整理剂整理羊毛织物(成衣)和棉织物后对织物表观颜色深度的影响,结果见图3、4。实验结果表明,整理对色织物表观颜色深度无明显影响。
|
|
| 试样l-末整理,试样2-有机抗菌整理,试样3-无机抗菌整理后, 试样4-有机/无机抗菌整理,试样5-有机/无机抗菌整理(水洗20次) |
| 图3 毛织物 |
|
|
| 试样1-未整理,试样2-有机抗菌整理,试样3-无机抗菌整理后,试样4-有机/无机抗菌整理,试样5-有机/无机抗菌整理(水洗20次) |
| 图4 棉织物 |
3 结论
经过实验论证与研究,成功研制了有机/ 无机纳米复合再生抗菌剂QP-NK,该产品主要是将纳米材料与纳米技术应用于有机抗菌材料中,通过有机抗菌剂与改性纳米氧化钛的优化设计和工艺研究,解决了有机抗菌剂与纳米组分的相容性、分散性和稳定性的问题,而且利用有机抗菌剂与羊毛织物的接枝共聚反应,将纳米组分牢固的固着在织物表面,实现了纳米材料与有机抗菌剂的协同效应和性能上的互补,从而制备出具有适度抗菌性、对织物表观颜色深度无明显影响、抗菌功能持久的复合抗菌剂QP-NK。产品特点如下: (1)适度的抗菌性和抑菌保持率。QP-NK处理的羊毛抑菌率为86.87%,经50次家庭洗涤,抑菌率为77.50%,抑菌保持率达90%左右;(2) 较好的分散稳定性,放置一月无明显分层或沉降现象;(3
相关信息 







推荐企业
推荐企业
推荐企业