磷腈化合物作为一种新型的磷氮系阻燃剂骨架材料,其分子结构中含有许多可被取代的Cl原子[1],因此可以通过分子设计,制备备种功能性阻燃剂[2-5]。磷腈系列阻燃剂的品种很多,应用领域广泛,既可用于棉、麻、丝等天然纤维及织物的阻燃整理,又可用于聚酯纤维、醋酸纤维、硝基纤维等制品的阻燃整理。一些环状磷腈衍生物如烷氧基环二磷腈、氨基环三磷腈、羟基环三磷腈等应用于纺织品阻燃已见报道[6]。聂旭文等人冂合成了六(甲基丙烯酰氧乙基)环三磷腈,通过6个丙烯酸酯基光固化,得到了本质阻燃的热固性树脂。以六氯环三磷腈作为阻燃母体、丙烯酸-2-羟丙酯作为UⅤ 光圃化活性单体,可合成UⅤ 固化磷腈阻燃单体,由单体制得的固化物氧指数为刀为了得到侧基含环三磷腈结构的线型丙烯酸酯共聚物,本文合成了2种五烷氧基环三磷腈丙烯酸酯衍生物,并以其为单体进行乳液共聚,制备了织物整理液,研究了共聚乳液的棉织物后整理工艺及阻燃功效,首次报道了侧基含环三磷腈的线型聚丙烯酸酯乳液及纺织品阻燃整理的应用。
1 试验
1.1 材料和仪器
材料:六氯环三磷腈(纯度99.7%,上海万凯化学有限公司),甲醇和乙醇(分析纯,上海嘉辰化工有限公司),丙烯酸甲酯、丙烯酸丁酯、丙烯酰胺、丙烯酸羟乙酯、十二烷基硫酸钠(SDS)、司盘-60(Span-60)、过硫酸钾(K2S2O8)均为化学纯。
仪器:FM200型高剪切分散乳化机(上海弗鲁克流体机械制造有限公司),P-AO型立式轧车(台湾瑞比染色试机有限公司),NICOLET57O0型智能型傅立叶红外光谱仪(美国热电公司),INOVA-400型核磁共振仪(美国Ⅴarian公司),S-5700型扫描电子显微镜(日本Hi-tachi公司),X'Per-Pro MPD型Ⅹ-射线多晶衍射仪(荷兰帕纳科公司),Rapid定形烘干机M-Tenter(LABOR-TEX.CO.LTD)。
1.2 阻燃剂的制备
1.2,
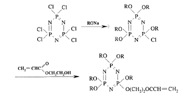
利用六氯环三磷腈分子结构中活泼的P-Cl键与亲核试剂脂肪族醇钠(R-ONa)进行亲核取代反应,制得了五烷氧基环三磷腈,后者再与丙烯酸羟乙酯反应得到五烷氧基环三磷腈丙烯酸酯.反应式如下:

在配备机械搅拌装置的
在配备机械搅拌装置、回流冷凝管和恒压加料漏斗的
在配备机械搅拌装置的
在500mL高型烧杯中,加入75mL水、
在500mL高型烧杯中,加入75mL水、
将上述预乳液转移至配备加料漏斗、温度计和回流冷凝管的250mL三口烧瓶中,升温至
1.3 整理工艺
二浸二轧整理液(共聚物乳液适量,轧余率100%→预烘(
1.4 测试
傅立叶变换红外光谱(FT-IR)测试以KBr压片注液膜制样,采用傅立叶红外光谱仪测试;1H NMR采用核磁共振仪测定,四甲基硅烷(TMS)为内标,CDC13-d1为溶剂;在扫描电子显微镜上对待测试样的表面进行观察,放大倍数3000;X-射线衍射:将待测试样制成粉末,在X-射线多晶衍射仪上进行测试;织物阻燃性能:剪取试样
2 结果与讨论
2,1 单体合成及结构表征
单体合成时,控制n(丙烯酸羟乙酯)∶n(六氯环三磷腈);n(醇钠)为1:1:5。制得的五甲氧基环三磷腈丙烯酸酯、五乙氧基环三磷腈丙烯酸酯与原料六氯环三磷猜的红外光谱对照如图1.
|
|
| 图1 六氯环三磷腈与两种五烷氧基环三磷腈 丙烯酸酯的红外 |
图1中,六氯环三磷腈红外光谱图A,特征吸收谱带
五甲氧基环三磷腈丙烯酸酯红外光谱图B,除保持有磷腈环骨架的特征吸收峰以外,P-Cl键的强吸收峰基本消失,表明取代反应基本完成。
五乙氧基环三磷腈丙烯酸酯红外谱图C中,
2.2 整理棉织物性能
以侧链含五甲氧基磷腈环的线型丙烯酸酯共聚物乳液对棉织物进行整理,并测试阻燃棉织物性能,测得续燃时间6.3s,阴燃时间0,损毁炭长
分析经共聚丙烯酸酯处理棉织物表面的红外光谱,并与未处理棉织物进行比较可知,整理后织物的红外谱图在
从图2可以看出,未处理棉织物在22.7°出现X射线衍射主峰,在14.9° 和16.4° 处也出现了Ⅹ射线衍射峰经过阻燃整理后,棉织物的Ⅹ射线衍射峰与未处理的棉织物基本相似,这表明整理后纤维的结晶结构基本没有发生改变,从侧面反映出阻燃整理反应主要发生在棉纤维的无定形区。
|
|
| 图2 棉织物阻燃整理前后的Ⅹ射线衍射图 |
2,2.4 SEM
图3中,整理后棉织物表面覆盖了一层聚合物膜,并在纤维之间形成相互粘连.这说明阻燃剂已经部分交联形成网状结构覆盖于纤维表面,从而使纤维具有阻燃性。
|
|
| 图3 整理前后棉纤维的表面形态SEM照片 |
3 结论
⑴以甲醇钠或乙醇钠、六氯环三磷腈、
(2)利用丙烯酸酯共聚乳液对棉织物进行阻燃整理,达到了良好的阻燃效果其中,甲氧基取代环磷腈丙烯酸酯共聚乳液用于棉织物阻燃整理,续燃时间6,3s,阴燃时间0,损毁炭长
⑶ 甲氧基取代环磷腈丙烯酸酯共聚乳液用于织物整理,阻燃效果比乙氧基取代环磷腈丙烯酸酯共聚乳液好。
相关信息 







推荐企业
推荐企业
推荐企业