C.Metzig(奥地利)
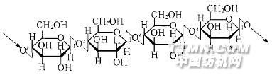
1 何为Lenzing Lyocell-LF源于高技术的纤维生产,封闭的循环,优良的纤维性能,易护理的、有利的生理携带性,可盈利的、通用的和低成本的后整理路线,Lenzing Lyocell-LF(注册商标)为一种高技术纤维,是符合从生态学角度来看的纺织工业的未来产品。Lyocell是纤维素纤维的总称,是通过直接溶剂纺丝工艺制成的。Lyocell由100% 的纤维素组成,基本元素同棉一样。原料是木材的浆粕,由可更新的初级产品制得(图1)。
图1 纤维素的化学结构生产过程相对于棉及其他纤维素人造纤维,由于其对空气、水和土壤的污染较少,所以对环境是及其友好的。这已由一些仲裁机构的奖项所证明:曾获清洁和创新技术的环境奖,分类技术欧洲奖,以及最高环境技术标准的2003WWF“Panda奖”。Lenzing Lyocell-LF(低原纤化纤维)是著名的、创新的,经典的Lenzing Lyocell纤维的一种低原纤化的变体,具有众所周知的优良性能,诸如抗张强度、尺寸稳定、手感好、优异的染料吸附性、非常好的耐水洗性。在纤维生产时已发生交联。无色的交联剂基于反应性染料的锚固化学性质(图2),适用于普通纤维和超细纤维。
图2 交联反应德国海德堡大学医院的研究证明,Lenzing Lyocell-LF具有许多优良特性,如可产生适合人体周边气候的高吸湿性(生理性质)、优良的对皮肤的亲和性(有助于神经性皮肤炎)。优异的穿着舒适性使这种纤维有较宽的应用范围。
2 Lenzing Lyocell-LF平针织物Lenzing Lyocell-LF的最终用途很广,从服装到家用纺织品,既有简便类,也有奢侈舒适类。与纺织业合伙人合作,从对双方都有利的角度出发,公司不断开发新的产品理念。用这种方法,以便在越来越困难的纺织品市场中留住顾客。与德国的Dolinschek公
3 技术信息为了得到应用范围宽广的商品,必须与合格的商业合作伙伴共同开发有效的产品。通常,产品开发始于纺纱工序,只有毛羽较少的纱才能生产完美的产品。这种顶尖质量的产品,必须使用低毛羽的环锭纱和Lenzing Lyocell-LF micro纤维生产的Siro纱。调节针织物的线圈大小可以获得紧密的针织物。这有助于以后的湿处理工艺中保持较小的拉伸及保证必须的稳定性。湿处理工艺取决于最终用途。两个整理方案的示例表明,使用Lenzing Lyocell-LF可获得良好的起球性及综合性能。
相关信息 







推荐企业
推荐企业
推荐企业