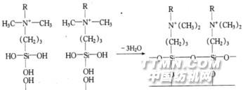
卫生整理目的: 使纺织品具有抑制菌类生长和繁殖的功能。阻止细菌在织物上繁殖产生臭气。保护使用者。 对纺织品的服用者产生医疗作用,如皮肤病治愈等。 防止纺织品被霉腐菌降解。 在抗菌同时与人体接触织物安全、无毒性。微生物在自然界到处存在,繁殖极快,皮肤、衣物上由于温、湿适宜,并有代谢物质滋养细菌,因此细菌滋生繁殖引起一些疾病、臭气等。卫生整理剂和卫生整理工艺:1、有机硅季铵盐抗菌整理剂 DC-5700:道康宁公司生产,安全、广谱抗菌,耐久,非溶出型。
DC-5700
2、二苯醚类抗菌剂5-氯-2-(2,4-二氯苯酚基)苯酚:
水分散乳液,日本公司多用。对纤维素无亲和力,使用时与2D树脂并用,交联耐久;对涤纶有亲和力,在涤纶高温高压染色时加入,或同浴整理。 现认为不安全,与漂白粉生成多氯苯衍生物,在紫外光下变成二恶英类致癌物。工艺:整理液浸轧 ------ 烘干DC-5700抗菌机理:对细菌胞壁和胞膜起作用。通常条件(中性),细菌蛋白质分子带负电(等电点2~5),和抗菌剂的阳电荷作用,被束缚,无法进行生物活动,呼吸机能抑制;膜破裂,内容物渗出.3、芳香族卤化物抗菌剂
相关信息 







推荐企业
推荐企业
推荐企业