涡流纺纱原理之涡流场内压力、速度分布
在圆形管道内形成涡流的方法有两种:一是在高压气体作用下,气流沿切线方向射入管道内,形成螺旋气流,一边绕轴心旋转,一边向出口推进(喷气纺纱);第二种方法是用低真空抽引管道中的气流,使管道内形成真空,气流从管道的进风口以切线方向进入,形成旋转气流(涡流纺纱),如图5—3所示。这种旋转气流的流动性质近似螺旋线,是一个旋转涡流场,有切向速度、轴向速度和径向速度。
它的径向速度、轴向速度比切向速度小得多(见第四章喷气纺纱中的分析)。切向速度的大小,表示气流承载纤维运动的能力以及对承载纤维形成的离心效应。
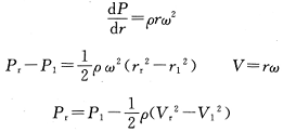
在圆管内,涡流场的气流流动,除边界(管壁)形成很薄一层附面层(气流压力和速度符合附面层分布规律)外,基本上近似固体涡流旋转,径向压力差为:
式中:ρ为空气密度;r为涡流半径;ω为涡流旋转角速度;P1为涡流边界压力;Pr为距中心半径为r处的气流压力;r1为边界层距涡流中心距离;rr为距离中心为r处的半径;V为涡流的旋转切向速度;V1为涡流场边界气流速度;Vr为距中心半径为r处的气流速度。
对于稳定涡流场,管内真空度不变,P1、V1是一定的常量。涡流中心:r=0,Vr=0,因此:
可以看出,涡流中心处的压力比涡流边界(接近管壁)处低而形成真空,如图5—4所示。
相关信息 







推荐企业
推荐企业
推荐企业