涡流管内气流的流动原理分析
涡流纺纱器由纺纱堵头11、涡流管18及涡流管上面的纤维输送孔7和进风孔8等组成(见图5—1)。涡流管内气流的流动如图5—5所示。
由于涡流管内的气流是从几个方面进入(进风孔、纤维输送孔、引纱管)的,流动比较复杂,应将气流分成几股加以分析:
1)空气从切向进风孔进入涡流管,由于进气孔面积小、涡流管内径大,气流进入管内就要扩散、膨胀,分成向下扩散气流V1、切向分速度V1′、旋转角速度ω1、垂直向下轴向分速度V1″,这股向下的气流被风机直接吸走,是无效气流;向上扩散气流V2、切向分速度V2′、旋转角速度ω2、垂直向上轴向分速度V2″,它可托持从纤维输送孔送下的纤维。
2)从纤维输送孔进入的气流V3,因输送孔向下的偏角,气流切向速度V3′形成涡流,角速度ω3及垂直向下的轴向分速度V3″,这股气流带着纤维沿纺纱堵头与管壁间的通道下滑。ω3与ω2旋转方向相同,V3″向下输送纤维,V2″向上托持纤维,作用相反。V2和V3这两股旋转涡流在纺纱堵头的下方相遇时,轴向产生的力达到平衡,此处形成一个近似平面的涡流场,纤维在到达平衡涡流场处被托住。在切向分速度V2′、V3′及离心力的作用下,纤维纱尾沿管壁绕涡流中心回转而形成圆锥形纱尾环,对纱条进行一边加捻、一边纤维添加、一边引纱出引纱孔。
3)从引纱孔进人的气流向下,可使生头纱进入涡流管,与上述两股气流在纺纱堵头的下方平衡。
4)由于涡流管内的压力差(中心压力低,负压)和管的一端抽风的作用,三股气流逐渐向涡流中心旋转,沿中心线向下被风机吸走。
2.涡流管内的速度和压力的测定
管内的
式中:h为毫米水柱高度。
图5—6为涡流管内微型毕托管测定的部位。A、B、C、D、E、F六点均在纺纱位置附近并接近管壁处。测得数据及计算结果列于表5—1中。
从表5—1可以看出:
(1)涡流在管内向上扩散运动,从月点至D点的速度逐渐减弱。
(2)从月点过渡到C点部位为纺纱有效涡流速度,从140m/s到131m/s。
(3)纤维从正点进入管内引到纺纱部位前,正点至D点是加速运动,有利于纤维伸直。
(4)F点的气压最低,使生头纱由引纱孔迅速吸入。
根据测定结果,计算出气流在纺纱部位的最大切向速度:
涡流管内径为16mm,则气流回转速度:
可见,涡流管内的气流回转速度是很高的。
3.进风孔的气流压力、速度与涡流场的关系
图5—7所示为涡流管内进风孔的气流流动。
气流在进风孔内的流动视为管道流动,用柏努利方程求得:
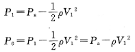
式中:Pa为进风口外部大气压力;P1为涡流管内涡流边界处压力(在B处的压力);P0为涡流管中心压力;ρ为空气密度;V1为涡流边界气流速度。
公式说明中心气压比大气压低。
4.抽气风机负压估算
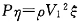
涡流管内的负压值是由抽气风机产生的,风机的负压值:
式中:η为风机效率;ξ为阻力损失系数。
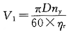
式中:D为涡流管内径;ny为纱条回转速度(由加捻和引纱速度决定);ηr为涡流加捻效率。
根据纺纱要求,确定D、ny,ηr,可估算选择所需的风机负压。
相关信息 







推荐企业
推荐企业
推荐企业