清梳联生条重量不匀率及自调匀整器作用的分析
1生条重量不匀率
1.1总不匀率
一般是在K台梳棉机上各取n段生条称重,对其总平均数求得的不匀率,既包含各机台内部的不匀(内不匀率),又包含机台间的不匀(外不匀率)。
1.2内不匀率
内不匀率有单台内不匀率和多台内不匀率两种,单台内不匀率为在一台上取n段长为5m、10m……等的生条称重,计算其σ值和CV%值。多台内不匀率为各台梳棉机分别取n段生条称重,各对本台条重平均值置求得的均方差σ1、σ2、……σK。
1.3总不匀率、内不匀率和外不匀率的相互关系
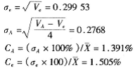
在K台梳棉机上各取n段生条称重如表1,其中:K=3,n=4,N=Kn=12。为计算方便各值均减15g。
由表1计算:
(1)修正项
(2)平方和
(3)平方和
(4)平方和Se=So-SA
=1.6-0.7925=O.8075
由此可得表2。
在棉条、粗纱和细纱的品质检验中,σe/
为内不匀率,σA/
称为外不匀率,Ce代表内不匀率,CA代表外不匀率,总不匀率C为:
在有些清梳联的试验资料中,将总不匀率称外不匀率,这是误解,应把二者区别,总不匀率可以简称不匀率,但内不匀率和外不匀率一定要明确指明,不能都简称不匀率,因为三者含意不同。
生条重量不匀率可用H%(平均差不匀率)和CV%表示,当二者的数据相当多时存在如下关系
CV%=1.25H% (5)
一般片段长度有5m、10m、20m等,不同片段间的关系如何?由于20m的生条重=4×5m的生条重=4个5m重之和,10m重为2个5m重之和。在数理统计学中,一个子样分布的均方差为σ,由n个个体数组成的平均数形成了
表3为30次~40次同时测定5m,10m,20m的CV%平均值。
可以看出,表3的关系比值与理论值
很接近,但这种换算关系必须是多次测定值的平均值,个别一、二次测定就相差不少。因此多次试验平均值的关系可为:
2卷喂生条和清梳联生条不匀结构的特点
清梳联生条与卷喂生条相比,其不匀结构主要问题是长片段、超长片段不匀率高和平均定量偏差大,因此清梳联生条不匀结构特点是:①中、短片段不匀率比卷喂生条好;②超长片段比卷喂生条差,且平均重量偏差大;③在片段长L处有一个交点,片段长度小于L时,清梳联生条不匀率比卷喂生条好,片段长度大于L时,清梳联生条不匀率比卷喂生条差。根据试验:单节简易棉箱时L为90m~100m,双节打气棉箱时L为300m左右。由此可见,棉箱结构和匀棉措施对清梳联生条不匀结构有明显的影响。
3清梳联梳棉机的自调匀整器
3.1清梳联系统的三个匀整环节
(1)从清棉到梳棉采用连续喂棉控制装置,检测输棉管道内的风压(首台梳棉机配棉头前端),调整清棉机给棉罗拉的速度(无级变速)。使管道气压始终保持在800Pa±20Pa(或±50Pa)。这是一个喂棉闭环自匀系统,较好地解决了无回棉喂棉均匀控制的问题,对质量更为有利。与问歇喂棉相比,由于运转率提高(η=100%),提高了末台清棉机的开松度和除杂效率。喂棉罗拉基本线速度V为:
式中:
V——台清棉机喂棉罗拉线速度(m/min);
W——喂棉罗拉喂人棉层线密度(g/m);
P—
n——梳棉机配台数或开台数。
(2)由下棉箱压力传感器控制喂棉罗拉无级变速喂棉,以保持下棉箱纤维密度均匀不变,进而保证出棉均匀,此亦为闭环自匀系统。
(3)梳棉机上采用自调匀整器。采用自匀器后,能较好地解决清梳联生条长片段、超长片段不匀率差和平均定量偏差大的问题。
3.2目前国内外高产梳棉机主要采用的自匀器
3.2.1机后开环短片段自匀器
这类自匀器的特点是给棉罗拉(或小给棉板)检测,给棉罗拉变速,匀整反应快,如洛菲公司的SLT-4型及马佐里公司的CX400型梳棉机,有两个传感器分别装于给棉罗拉两端支臂上,传感器把通过给棉罗拉传来的棉层厚度信号转换并发送给电子装置,电子装置就会指示直流变速电机改变给棉罗拉转速,从而达到匀整目的。但给棉罗拉检测的并非完全是棉层平均厚度,检测精度受棉层横向不匀影响较大。且给棉罗拉传动端易受传动干扰。
在C4型、C51型、DK760型、DK803型等梳棉机的混合环自匀器中,也应用机后短开环的自匀器,其中C4型、C51型机为小给棉板检测,检测精度同样受棉层横向不匀影响,但已不受传动干扰。DK760型机在给棉板中装有两块检测板,分左右两部分检测棉层厚度,横向已有所改进,因而改善了棉层横向不匀对检测精度的影响。DK803型机采用10块弹簧钢板分段检测全宽度的棉层厚度,较好地解决了棉层横向不匀对检测精度的影响。在DK760型机和DKS03型机上都已可以不受传动端的干扰。
3.2.2机前短开环自匀器
在Platt2000型梳棉机上,机前装一对凹凸检测罗拉和一对牵伸罗拉,根据检测信号相应地改变前罗拉和圈条器的速度,反应速度快,匀整片段短。
在CX400型梳棉机和Ucc—S型混合环系统中,均采用机前短开环系统,它由喇叭口传感器检测棉条粗细,改变机前牵
在机前短开环自匀器中,都改变机前牵伸区前罗拉的速度,由于牵伸倍数低,也可不改变圈条器速度,而采用加装一个储存棉条装置的办法,如Ucc-S型。
3.2.3机前短闭环自匀器
机前装有牵伸区,在其出口由一对凹凸罗拉检测输出棉条粗细,改变前罗拉速度,如CrosrolWTAl2型。
3.2.4长片段闭环自匀器
Ucc-L型、CrosrolLTAL2型、眦型、C-.825型、m21型、YZ—z型等都为长闭环自匀器,机前检测(凹凸罗拉,阶梯罗拉或气压喇叭口),机后调节(给棉罗拉变速或改变下棉箱压力),这类自匀器的特点是闭环回路长,以解决清梳联生条长片段、超长片段不匀和重量偏差为主,故匀整片段长度较长,是目前高产梳棉机的基本型自匀器。
3.2.5混合环自匀器
兼有开闭环的优点,可匀整长、短片段,分两类。
(1)二检一控式:采用二个检测点(机后给棉罗拉、小给棉板或多块弹簧钢片,机前凹凸罗拉、阶梯罗拉、弹簧片式喇叭口或气压喇叭口),共控一个机后给棉罗拉变速,都是长闭环与机后短开环相结合,如C51型、DK803型等梳棉机上采用。
(2)一检二控式:机前检测,同时控制机后给棉罗拉和机前牵伸区的前罗拉变速,它是长闭环和机前短开环相结合。
3.2.6双闭环中片段自匀器
Uster在Ucc-L型自匀器基础上,在锡林前罩板区加装一个光学检测,与大压辊处的检测信号共控机后给棉罗拉变速。由于锡林前罩板区与给棉罗拉的时差短,因而匀整片段可为中片段。
在上述6种梳棉机自匀器中,国内在引进梳棉机和国产梳棉机上,机后短开环、机前短开环、长闭环和混合环(二检一控式)都有应用。
4梳棉机长片段闭环自匀器的动态特性分析
4.1波长不均与片段不匀间的关系
喂入棉层的各波长不匀波,匀整后各波振幅各有所减小,这新的不同振幅的波形又可叠加成匀整后的生条。波长不匀与片段不
(1)超长片段不匀率主要决定于超长波;
(2)长片段不匀率主要决定于超长波和长波;
(3)中片段不匀率主要决定于超长波、长波和中波;
(4)短片段不匀率主要决定于超长波、长波、中波和短波;
(5)长波的改善,不仅能改善长片段不匀率,而且也对中片段、短片段不匀率有利,同样中波的改善,就能改善中、短片段不匀率。
因而梳棉机长闭环自匀器对长片段、超长片段不匀是肯定能改善的,但对中、短片段就决定于超长、长、短波的改善和中波恶化的程度,因此只要控制中波段恶化的程度,就能使长、中、短片段不匀率均能得到改善。
4.2长闭环单台各片段长度内不匀率
无自匀器时只有梳棉机的均匀作用,采用自匀器后是两者的共同匀整效果,有无自匀器的比值恰好表明纯长闭环的匀整特性。我们对无锡一棉Cl/3型梳棉机有无自匀器做了各种片段长度的试验,其结果见表4,说明了纯长闭环对波段不匀和片段不匀率的影响。在20m~25m处有无自匀器不匀率曲线有一交点,当片段长度<20m~25m时,不匀率有所恶化。
5自调匀整器的滞后时间对不同波段匀整效果的影响
5.1自相关函数R(τ)与纯闭环自匀器幅频特性关系的分析
喂入棉层(或棉条)可视为一个平稳随机过程,可分解为各种不同振幅的波形叠加而成,检测点与给棉罗拉变速点在时间上总滞后τO′。
τo′=τ1+τ2 (9)
式中:
τ1——棉层从给棉罗拉到大压辊检测点的时间(即位置滞后);
τ2——由检测点信号通过闭环各系统到给棉罗拉变速的滞后时间(即系统滞后)。
闭环自匀系统是以同一个τO′来匀整
5.2机后短开环自匀器的滞后时间τO′及其对匀整效果的影晌
机后开环的检测点在给棉罗拉、给棉板处,变速点为给棉罗拉,但刺辊抓取纤维在刺辊给棉板分梳点,改变喂入量的目的是使刺辊抓取纤维量均匀不变,因此匀整点应为分梳抓取点。因此机后开环总滞后τO′为
式中:
τ1——机后检测点到分梳点(匀整点)的时间(位置滞后);
τ2——检测点信号通过开环各系统到给棉罗拉变速的时间(系统滞后)。
一般τ1>τ2,检测的棉层还未到达分梳抓取点时,给棉罗拉已提前变速,如提前加速,则刺辊过量抓取,如提前减速,则刺辊抓取量不足,出现轻条。其结果就破坏了短片段,如在系统中加一个延时τ3或记忆环节,使τ3=τ1-τ2,则τ0′=τ1-τ2-τ3=O,使检测棉层正好到达分梳抓取点时棉层变速,达到刺辊抓取量均匀一致。这就改善了匀整效果。开环自匀器的匀整效果决定于
5.3机前开环自匀器的τ0′及其匀整特性
检测点在凹凸检测罗拉处,变速在牵伸区内前罗拉附近,但研究指出纤维细度即半制品的细度S(x)的相对振幅比断面内纤维的尖端密度n(x)相位迟φ角,因此生条从检测点到匀整点的滞后时间τ1为:
式中:
L——检测罗拉至前罗拉握持线的距离;
S——前罗拉握持线至变速点的距离;
φ——n(x)与S(x)的相位差,此处表示距离;
V——棉条喂入速度。
总延迟时间τO′=τ1-τ2,如τ1>τ2,则在电路中增加一个延时τ3,使τ0′=τ1-(τ2+τ3)=0,各种波长(长、中、短波)的振幅都能得到匀整,因此各种片段不匀率(长、中、短片段不匀率)都能改善。但牵伸区的牵伸又增加了牵伸波,在一定程度上破坏了短片段不匀率。表6为机前短开环的单台内不匀率。
5.4混合环自匀器的τ0′及其匀整效果
混合环自匀器是由长闭环和机后(或机前)短开环组合而成,它兼有闭环和开环的优点。由前分析可知,长闭环的τ0′较长,但短开环的τ0′很短,而且
长闭环自匀器一般在20m~30m片段以下,单台内不匀率有破坏作用(比值>1),混合环的交点在1m~5m以下,显然改善了短片段的不匀率。
6自匀器的匀整效果
梳棉机上采用自调匀整器以后,有效地解决了清梳联生条在质量上存在的主要问题,促进了清梳联的迅速推广应用。
(1)采用自匀器后生条重量不匀率改善,重量偏差减小。
(2)采用自匀器后,不仅可以改善生条的重量不匀率CV(内)%,而且特别改善了台间不匀率和班间不匀率。
(3)影响单台班间内不匀率的因素有:原棉、温湿度、生条平均定量偏差的稳定情况,自匀系统各环节的稳定和“漂移”等,一般在不很长的时间内,原棉和温湿度可加以控制稳定,因而单台班问不匀率就成为自匀器稳定性、可靠性的重要标志之一。
(4)由阶跃喂入试验可知,通过自匀器匀整后,生条重量变化要过一段长度后才能恢复到标准定量,长闭环(如Ucc-L型)大约在30m-50m之间,因而喂入量波动过大和频繁,自匀器将来不及匀整而恶化匀整效果。因此清梳联运转正常、稳定是自匀器获得良好匀整效果的基础。
(5)自匀器的匀整能力是有一定限度的,不可能把各种喂入不匀(如各种棉箱的差异产生的不匀)均匀整到同一水平,调研资料表明,采用自匀器后,只能在原有清梳联重不匀率的基础上得到一定值的改善,因此采用自匀器后,对清梳联还应要求尽可能提高匀整能力。如清棉到梳棉和上下棉箱采用连续喂
引进梳棉机和国产梳棉机采用自匀器后,清梳联生条的重量总不匀率如表9所示。
参考文献
1严灏景.纺织工业数理统计.北京:纺织工业出版社.1957
2谢应安等.梳棉机闭环自调匀整系统的匀整效果.纺织学报,1984;4
3谈树起等.国产清梳联与自调匀整装置配套试验.棉纺织技术,1998;(26)3
4费青.梳棉机自调匀整器及其特点.北京纺织,1985;6
5费青.梳棉机自调匀整器及若干问题的探讨.棉纺织技术,1986;(14)6
6费青.清钢联梳棉机自调匀整器及其匀整效果分析.棉纺织技术,1992;(20)10
7刘豹.自动调节理论基础.上海:上海科技出版社,1964.
中国纺织科学研究院费青
相关信息 







推荐企业
推荐企业
推荐企业