前言
传统圆网印花机主要依靠人工目测方法来调节对花,而人工调节易受主观因素的影响,判别误差大,对花精度低。随着计算机技术的普及,传统工业领域正发生着巨大变化。近十年来,出现了很多带有自动对花系统的印花设备,如晋江估龙机械公司的彩虹系列印花机通过镍网上的十字线进行三向自动对花;Stork 公司的SDM一2050Mega带有自动激光对花系统。随着数字图像处理技术的发展,使基于机器视觉的在线检测成为可能。黄朝丽等人提出了一种基于机器视觉的圆网印花自动对花方法,通过图像传感器在线实时地对印花图案色位进行检测控制;李鹏等 针对圆网印花自动对花,提出中值滤波和图像阈值分割的图像处理算法。本项目提出一种新型圆网印花机自动对花方法,即采用中值滤波等方法对采集到的对花图像进行预处理,并采用基于光流法和相位相关法的联合算法,实时检测印花图案色位,进一步提高了对花精度。
1 圆网印花在线检测系统
基于机器视觉的圆网印花质量在线检测系统,采用图像传感器,在线以一定间隔摄取印花图像,再通过图像处理单元进行相关图像处理及模式识别,将各个
.jpg)
2 视觉系统中图像噪声及预处理
印花图像在采集、处理等环节都可能会引人噪声,因此噪声抑制对图像处理及后续自动对花控制环节十分重要。噪声主要来源于CCD(电荷耦合元件)的热噪声、电器机械运动产生的震动噪声等,它们对图像信号幅度和相位的影响十分复杂。为了抑制噪声,改善图像质量,本项目采用中值滤波法(Median Filter)。中值滤波法具有去噪能力强、图像边界细节保持好、处理速度快等优点。它是一种非线性的空间滤波技术,在一定程度上可以克服线性滤波带来的图像细节模糊化。印花过程中获取的图像具有很强的纹理特征,使用中值滤波可以有效地保留细节,详见图2。
.jpg)
3 对花偏差检测
圆网印花在线智能监测控制系统需要实时检测多个圆网的相对位置是否产生偏差,并根据偏差在线调整圆网位置。采
.jpg)
结合约束条件求解该方程,常见的求解光流方程的算法为Lucas和Horn—Schunck。
用光流法对印花图像进行检测的效果图见图3。
.jpg)
光流法可以得到印花图像中走偏的区域以及走偏的方向,但是无法得到走偏的具体位移。针对走偏区域,采用局部相位相关法获得圆网的走偏位移。相位相关法基于傅里叶变换的良好特性,即图像平移、旋转和尺度变换均在频率域有对应特征。传统的相位相关法能定位出整数(像素级)的平移。
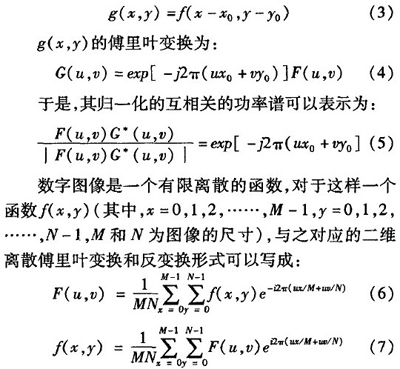
相位相关法的理论依据是傅里叶变换的相移定理。相移定理是指空域内函数的位移将会引起频域内变换函数的相移。设f(x,y)为在R2 上绝对可积的函数,其傅里叶变换为F( u,v ),函数g( x,Y)在函数f(x, Y)发生( xo,yo )的位移:
.jpg)
两幅图片的相位相关计算可以归纳为:首先对图片分别计算它们的离散傅里叶变换(DFT)形式,然后计算归一化相关功率谱,最后对其求离散反傅里叶变换(IDFT)。
对于上述两幅印花图像,将图像中发生走偏的灰度值从原图中分割出来,得到的两个分割图形,形状相似,
4 结论
基于机器视觉的圆网印花机自动对花系统,利用图像传感器在线实时地对印花图案套色位置进行自动检测与控制,极大地减轻了人工检测的劳动强度。采用中值滤波法作为图像预处理,结合基于光流法和相位相关法的技术,大大提高了圆网印花机的对花精度。随着图像处理模块的进一步发展,可以利用相位相关法获得亚像素级的定位精度,从而进一步提高对花精度。
参考文献:
[1] 黄朝丽,仇建喜.机器视觉技术在圆网印花机自动对花系统中的应用[J].纺织科技进展,2006,(3):48—50.
[2] 李鹏.基于机器视觉的圆网印花在线检测研究[D].东华大学,2008.
相关信息 







推荐企业
推荐企业
推荐企业