1-电磁夹滑行槽;2-电磁铁本体;3-电磁夹夹持部分; 4a-电磁夹衔铁吸上位置;4b-电磁夹衔铁松开位置;5a-夹持装置上升位置;5b-夹持装置压下位置;6-印花导带
1.2对花误差分析
当摩擦力F下降,可能造成ΔS增大,从上式可以看出,导致F下降的原因可能是电磁夹的夹持力N下降或摩擦系数k减小。
1.2.1摩擦力下降
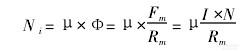
推进电磁夹采用高磁导率的纯铁制成,其夹持力:
.jpg)
式中:Fm———磁通势;
I———推进电磁夹的励磁电流;
N———推进电磁夹的线圈匝数;
Rm———推进电磁夹的磁阻
Φ———磁路中的磁通量;
μ———磁通率。
在实际生产过程中,励磁电压的变化可能造成励磁电流I发生变化;推进电磁夹电磁线圈的断路或短路可能造成线圈匝数发生变化;电磁夹更换等原因会造成其磁阻发生变化。这些原因都可能使推进电磁夹的夹持力下降。
印花导带的长期使用,造成导带边缘由于摩擦变形而变滞、变硬、变薄,失去弹性等,使其与电磁夹的摩擦系数下降。
当推进电磁铁发生励磁线圈断路、励磁电路短路等状况时,可能造成1个或几个推进电磁夹不能工作,使有效的推进电磁夹数下降。
1.2.2控制程序的编制不合理
平网印花机的导带推进时,印花网框开始做一次下降,当接近开关检测到推进到位,且网框下降到中位时,推进电磁夹失电,保持电磁夹得电;当网框下降到底后,飞机架带着推进电磁夹回程;当接近开关检测到回程到位信号后,推进电磁夹得电,保持电磁夹失电,网框提升。
如前所述,飞机架在A、B两点间往复运动,检测其是否推进到位(B点)和回程到位(A点)的接近开关,由于安装尺寸的原因,只能安装在C点和D点。这就可能造成当控制计算机检测到位时,飞机架并没有真正到达机械限位,需延时Δt后才能真正推进(或回程)到位。另外,推进电磁夹、定位电磁夹、印花网框的时序存在配合问题,在编程控制程序中易忽视,可能造成ΔS变大。下面分析几种常见的情况:
(1)推进结束时,导带未被推进到位
可能有两种原因:当检测到推进到位信号后,若推进电磁夹立刻失电,保持电磁夹得电,会造成导带不能被送到位;当检测到推进到位信号后,推进电磁夹未失电,而定位电磁夹立刻得电,这时由于定位电磁夹的作用,使导带的推进阻力增大,也可能造成导带不能被送到位。
(2)回程结束时,推进电磁夹未回到位
当检测到回程到位信号时,推进电磁夹立刻得电,由于此时导带处于静止状态,推进电磁夹夹持住导带后,便不能回程,也就不能回到A点,这样会使推进导带行程发生变化,从而造成ΔS增大。
<<上一页[1][2][3]下一页>>
相关信息 







推荐企业
推荐企业
推荐企业