![]()
编程直方算法对各类待印织物进行检测试验.结果表明织物图像纹理的经纱方向和纬纱方向直方投影均能生成周期及幅度相对稳定的直方波形.如图2所示。
.jpg)
依据此特点,用公式(3)、(4)进行直方投影重复累加运算能使随机干扰趋于常值而且具有噪声过滤功能。当纬、经纱线间隔和线径一定时,沿纬、经纱线方向的直方投影等效于跟踪检测纬、经纱线线径和间隔所形成的波峰与波谷,纬、经纱线会产生波峰,线孔间的灰度波动被累积放大.生成明显的分界形成波谷.如图3所示。
![]()
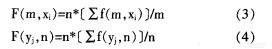
式q~F(m,xi),F(yj,n)分别为纬、经纱线方向灰度累加运算直方统计值:n为累加次数。
.jpg)
图3中每一个波峰代表一根纱线。如果对移动中的待印织物的表面图像连续进行扫描.然后依据以上识别算法对待印织物的表面图像进行处理.就可以得到待印织物的表面图像稳定的直方波形图.
以此图形就可以准确地计算出用纱线根数表示的待印织物所移动的距离。用纱线根数作为长度计量单位表示待印织物所移动的距离或移动速度.从而实现多套色印花的对花定位用该方法进行多套色印花定位能够较好地解决由于待印织物遇湿变形所引起的对花不准问题
2 多套色印花定位系统设计
.jpg)
图4所示为一个基于图像识别技术的二套色圆网印花系统,其中计算机6为待印织物纹理图形处理设备和运动控制系统的控制器.将图像数据处理设备和运动控制器设置在同一计算机可简化系统设计。进布装置1将待印的织物送到印花毯9.线阵CCD2、线阵CCD4分别采集待印织物表面纹理图象.作为织物表面经向定位参数:交流伺服驱动器7、交流伺服驱动器8根据计算机6的指令分别对交流伺服电机3、交流伺服电机5进行驱动:交流伺服电机3、交流伺服电机5分别对第一版和第二版的印花圆网进行驱动计算机为工业控制计算机.内置图像采集卡和运动驱动卡分别作为CCD2、CCD4与交流伺服驱动器7、8的接口。
<<上一页[1][2][3]下一页>>
相关信息 







推荐企业
推荐企业
推荐企业