仪器设备布氏漏斗,可见分光光度计,烘箱,2OmI具塞试管,针孔过滤器,Epsonstylusc41Sx喷墨打印机,恒温槽,乌氏黏度计,吸耳球,秒表,密度计,322w型表面张力仪,Dataco1orSF6o0型电脑测色配色仪,皂洗牢度仪,摩擦牢度仪。
1.2试验方法
1.2.1墨水配制
向商品染料中加入N,N一二甲基甲酰胺,其用量以恰好使染料全部溶解为宜。将染料溶液过滤,并在所得滤液中加入丙酮,染料析出,过滤沉淀液,将所得滤饼干燥。用热去离子水溶解滤饼,加入助剂,冷却静置2h,过滤。
1.2.2喷墨印花
浸轧预处理液(预处理液由2%硫酸铵、2%尿素和l%海藻酸钠组成,一浸一轧,轧余率70%)一烘干一喷印一汽蒸(102℃×30min)冷水洗皂洗(皂片2L、纯碱1L、浴比20:1,40℃皂洗两次,每次l0min)一热水洗一冷水洗一固色(酸性染料固色剂FH2L、pH值4~5、浴比2O:l,2Omin×60℃)一温水洗一冷水洗一烘干
1.2.3酸性染料及其墨水性能测试
(1)染料溶解性能
准确称取一定量的染料,用蒸馏水溶解后移至容量瓶中,并稀释至刻度,摇匀备用。按倍数关系吸取不同体积上述溶液,分别移人50mL容量瓶中,并稀释至刻度,摇匀,测定其吸光度,绘制吸光度与浓度的关系曲线。
将约lg染料和l0mL含不同量助溶剂的溶液,置于密封试管中充分溶解,室温条件下放置一个月后,用针孔过滤器过滤;稀释一定倍数后,在其最大吸收波长处测量吸光度。依据吸光度与染料浓度的关系曲线,确定其溶解性能。
(2)酸性染料喷墨印花墨水性能
墨水黏度用乌氏黏度计在(25±1)℃测定液体黏度,所选的参比溶液为去离子水,各样品测3次,取平均值。
墨水表面张力使用322w型表面张力仪,在(25±1)℃用吊环法对墨水表面张力进行测定,每个样品测量3次,取平均值。
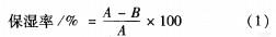
墨水保湿性能取lmL墨水置于烧杯中,称初重后,在室温条件下放置,自然蒸发至重量不再发生变化时称重为A,然后7O℃烘至恒重时称重为曰,按式(1)计算保湿率:
![]()
1.2.4喷印流畅性测试
喷印流畅性分为即时喷印流畅性和间歇打印流畅性。前者指墨水刚装人墨盒时的打印流畅性,后者则指问歇一段时间后开机打印,是否出现断线、条痕等异常现象。
(1)即时喷印流畅性测试
墨水刚装人打印机墨盒,喷头经l~2次清洗程序清洗后,连续打印5张A4纸色块,观察打印效果。打印效果分四个等级:l级,出现断线;2级,出现明显条痕;3级,出现轻微条痕;4级,无条痕。
(2)间歇喷印流畅性测试
将配置的墨水放置7d后,喷头经l一2次清洗程序清洗,连续打印5张A4纸色块,观察打印效果,并按即时喷印流畅性方法评级。
<<上一页[1][2][3][4][5]下一页>>
相关信息 







推荐企业
推荐企业
推荐企业