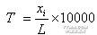
6 结果计算线密度用特克斯制表示,推荐的单位为分特(dtex)。6.1 线密度
………………………………………(2)式中:T----线密度,单位为分特(dtex);---第i个试样调湿质量,单位为克(g);L---- 试样长度,单位为米(m)。6.2 单丝线密度Td=T /N………………………………………(3)式中:Td---- 实测单丝线密度,单位为分特(dtex);T —— 复丝线密度,单位为分特(dtex);N ---- 复丝根数。6.3 线密度偏差率
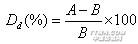
…………………………………(4)式中:Dd----线密度偏差率, 单位为百分号(%)。A ----线密度测定值,单位为分特(dtex);B ----线密度名义值,单位为分特(dtex)。6.4 单丝根数偏差率
……………………………(5)式中: DN----单丝根数偏差率, 单位为百分号(%)。NA ----单丝根数测定值,单位为根;NB ----单丝根数
相关信息 







推荐企业
推荐企业
推荐企业