邱栋,周跃华,齐成勇,王广清
1 引言 纺纱生产实际中由于原料和纺纱工艺等原因,纱线的粗细是不均匀的。纱线线密度的不匀率会直接影响到成品的外观质量和强度等性质,因此评定各种纱线质量时一般均须检测线密度不匀率。线密度不匀率指纱线沿长度方向上单位长度的重量不匀率,我国生产实际中常采用切断称重法测定纱线线密度不匀,据所测数据计算重量不匀率。由于采用的不匀率表示法不同,其计算结果和反映纱线不匀的准确程度也不同,下面就不匀率不同表示法进行初步的分析。
2 纱线不匀率的表示法 纱线线密度从其实质看是度量纱线特性的离散性,因此可以应用数理统计中各种度量离散性的特征数来加以表述,从而计算出线密度不匀率的大小。2.1 平均差系数 平均差系数是指各数据与平均数之差的绝对值的平均值对数据平均数的百分比。 若将纱线切割成等长片段,称得重量为X1,X2,X3,…,Xn,其中n为试验片段数,则有
(1) 式中,Xi为各次试验值。 平均差系数也可用纱密尔公式(德国H.Sommer提出)计算,其公式为:
(2)
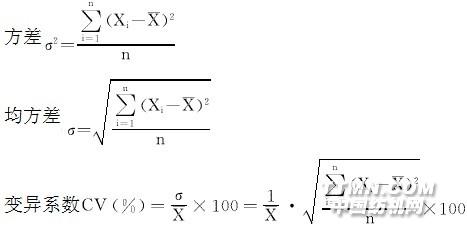
式中,
1--小于的各试验值平均n1--小于值的试验个数2.2 变异系数 变异系数是指均方差对平均数的百分比,而均方差是指各数据与平均值之差的平方的平均数之平方根。故变异系数又称方差系数。
(3) 因为σ2是样本方差,当测试个数少(一般为n<50)时,用样本估计总体方差,需将分母中n用n-1来代替,n-1称为自由度(由于已从试样值中求取了一个平均数,自由度等于试样数减去1)。因此,当试验次数少(n<50)时,为了能正确代表所测整批纱线的不匀率,变异系数则采用下式来计算:
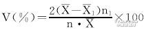
(4)2.3 极差系数 极差系数是指数据中最大值与最小值之差(即极差)对平均数的百分比。 极差系数
(5)
相关信息 







推荐企业
推荐企业
推荐企业