按照GB/T20392—2006《HVI棉纤维物理性能试验方法》的要求,把细绒棉待测样品放在温度为(20±2)℃,湿度(65±3)%的恒定温湿度环境条件下平衡24h后,测试棉纤维的上半部平均长度、断裂比强度、马克隆值,计算试验的标准差,对测试产生的不确定度进行评定。
1棉纤维上半部平均长度不确定度的评定 1.1测试原理 棉纤维沿其长度方向被梳夹随机夹持,排列在梳夹上,构成棉须。光学系统对棉须从根部到梢部进行扫描,根据透过棉须光通量的变化,获得精确的照影仪曲线,计算出各项长度指标,从电脑上显示出来。 1.2测试过程 从显示屏显示的菜单中选定长强校准程序,选择两个已具有上半部平均长度、长度整齐度标定值的校准棉样,按照仪器提示的指令进行校准。然后进入测试程序,对每个样品作一组试样的测定以验证校准情况,使校准棉样的实测值符合要求。待验证通过后,从待测样品中取出试验试样,将样品放在取样样器上,按下测试按钮,样品自动进行测试,显示屏显示测定值及相关信息,同时显示下一道测试的指令,再进行同一样品下一试验试样的测试,每个样品测试10个试验试样。 1.3数学模型
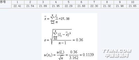
1.4不确定度来源 1)重复性测试引起的不确定度 2) 环境温湿度的影响所引起的不确定度 3) 标准物质校准引起的不确定度1.5不确定度分量的评定 1.5.1测试过程随机效应导致的不确定度 对同一个棉花样品的10个试验试样进行测试,测定的上半部平均长度值如表1。表1 上半部平均长度测试结果
1.5.2标准棉样校准引入的不确定度 根据HVICC校准棉样的校准允差规定,上半部平均长度的允差为:±0.4mm。则校准棉样校准所引起的不确定度,可按均匀分布考虑
1.5.3环境温湿度所引起的不确定度 环境温湿度对棉纤维长度有一定影响,但HVI测试棉纤维上半部平均长度都是在温度为(20&plu
相关信息 







推荐企业
推荐企业
推荐企业