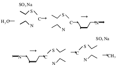
直接染料染色方法简单,但是染后的坚牢度难以令人满意,因此在机织物染色中很少用直接染料。实际上也有一些品种的坚牢度非常优良,如直接耐晒染料系列。在这类染料中,直接耐晒黄RT的牢度最为突出,它的结构为:其皂洗牢度可以达到4级以上,而且耐酸、耐碱、耐氧化和耐还原,所以可以与还原染料及可溶性还原染料拼色。

这类直接耐晒染料染后也无须处理。国外的商品有德国的Siriua(锡利)等。
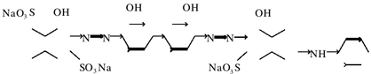
还有一些能与金属络合的直接染料,牢度也可以达到满意的程度。它们也归入上述的直接耐晒染料。如直接耐晒蓝FBGL。

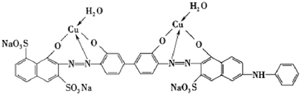
加铜络合后为:

相关信息 







推荐企业
推荐企业
推荐企业