除了活性染料的汗光牢度,其余一些染色牢度的分析和解决方法笔者已撰文论述。本文只对活性染料的汗2光牢度进行探讨。
汗光牢度问题在夏季高温潮湿的亚洲地区较为常见,欧洲一般不多见,发生此类现象的原因可从汗2光牢度的褪色机理上来分析。由于汗液中含有组氨酸,其实它是一种金属螯合剂,可将金属从络合染料中夺取出来,使得原本耐光性很好的金属络合染料耐光性能急剧下降。近年来,棉用金属络合活性染料,除酞菁和Formazane(甲月替)类以外,已很少使用。而偶氮型活性染料受汗液中的乳酸组分影响,还原分解所导致的耐汗2光牢度的褪色机理属光还原反应,与耐光牢度的褪色机理属于光氧化反应不同。因此,耐光牢度好的活性染料不一定是耐汗2光牢度好的染料,耐汗2光牢度好的活性染料应具备较好的耐还原反应性。
偶氮型活性染料中的偶合组分若含有J酸和R酸的都具有良好的耐汗2光牢度,可达4~5级,但是这类染料都是橙黄色相的红色谱。蓝色相的红色谱活性染料中的偶合组成为H酸,此类偶氮型红色染料的耐汗光牢度很差,仅1~2级,即使改变结构后也只有3级。蒽醌型活性染料仅限于蓝色,这类染料无论在氯化,还是还原条件下,耐光牢度和耐汗2光牢度都极佳。近年来一些公司相继推出了一些耐汗2光牢度好的不含金属络合的活性染料,如Zeneca公司于1998年推出的4只具有卓越汗2光牢度和耐氯牢度的ProcionH2EXL染料系列,有绿宝石绿、宝石蓝、翠蓝及黄素(Flavine)。1998年住友公司推出的SumifixSupraHF及NF系列,日本化药公司的KayacionE2LE系列染料,以及Clariant公司(科莱恩)的DrimareneCL2C型,汗2光牢度都可以达到4~5级。
日本关于耐汗2光牢度的测试方法原先有JISL0888,但是因为汗液组分有4种,没有包含乳酸在内,因此往往出现牢度测试结果与实际不符的现象。能够较好测试耐汗2光牢度的方法为ATTS(AssociationforTextileTechnicalStudy,日本纺织技术研究会)方法,其汗液由乳酸的七种组分组成。
6 致敏性分散染料
Oeko2TexStandard100的2002年版规定有20只致敏性分散染料。2003年修订本指出C.I.分散橙76与橙37是同一化学结构式(C.I.结构号11132;CASNo.11131-61-6);2004年修订本又增加C.I.分散橙1(C.I.11152,CASNo.23355-64-8),因此仍为20只。其中除了C.I.分散蓝102、蓝106、蓝124和棕1,其余16只分散染料的相对分子质量都在270~340,是涤纶问世前醋酸纤维用染料。致敏分散染料问题有以下三方面:
(1)目前,醋酸纤维常用作里料,甚至也作为面料,常误用致敏分散染料染色。
(2)因为这些分散染料相对分子质量小,经常用于涤纶转移印花,在转移印花纸生产厂调查发现,有部分致敏分散染料还在使用。例如:C.I.分散黄3(分散黄G)、黄9、橙3(分散橙GR)、红1、红11(分散紫)、红17、蓝3(分散蓝FFR)和蓝26等。转移印花生产厂必须弄清楚所使用的转移印花纸是否含有致敏性分散染料。
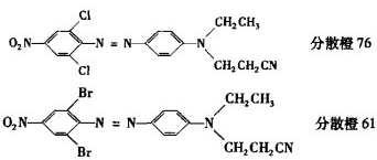
(3)复配型染料中有致敏性分散染料,最负盛名的如分散黑EX2SF300%是由C.I.分散橙76、紫93及蓝291复配而成,因此必须另找复配处方来代替C.I.分散橙76。很多染料厂采用C.I.分散橙61来代替分散橙,两者化学结构相近:

相关信息 







推荐企业
推荐企业
推荐企业