纺机网技术中心

 您所在的位置:  纺机网 >  技术中心 >  染化料 >

表面活性剂的表(界)面化学性质—表面活性剂钙皂分散力的测定

来源:印染在线 发布时间:2012年01月02日

【摘 要】
固体微粒浸在液体中,容易结粒成块而下沉,表面活性剂有使固体微粒的结粒分散成细小的质点而不容易下沉的能力,这种能力称为分散力。测定分散力,通常是测定对钙肥皂的分散力,一般认为对钙肥皂的分散力好的,对其他固体的分散力也是比较好的。
测定分散力的方法有分散指数法、滴定法、比浊法等,以分散指数法和滴定法最通用。
【方法一】分散指数法
(一)方法概述
在试验条件下测定完全分散难溶性金属皂(钙、镁皂)所需分散剂的最低量,以油酸钠在一定硬水中所需分散剂(表面活性剂)的质量分数表示该分散剂的分散指数(LSDP%),该值愈低,分散力愈强。
(二)试剂和仪器
(1)5g/L油酸钠溶液 用纯油酸钠配制5g/L水溶液,也可用油酸加纯碱的方法,方法为称取油酸(化学纯)2~3g于500ml蒸馏水中,加热溶解,加入0.5g无水碳酸钠(小批加入),最后的溶液pH值为8~9(如果不到,应加一些无水碳酸钠)。
(2)硬水 以lgCa2C03/L计算硬度,将0.665g无水氯化钙及0.986g七水硫酸镁溶于蒸馏水中,再稀释至1000ml。
(3)试样溶液0.25g/lOOml。
(4)100ml具塞量筒(或有30ml刻度的具塞比色管)。
(三)操作步骤
在室温下(一般恒定在25℃),吸取5m15g/L油酸钠溶液于lOOml具塞量筒中,加入适量2.5g/L分散剂溶液(即试验液,以5ml为宜),加入lOml硬水,再加水至30ml加塞,倒转20次,每次均回到起始位置,静置30s,观察钙皂粒的情况,如在透明溶液间有凝聚沉淀,说明分散剂的用量不够,应增加分散剂的用量,使凝物在管中全部分散,直至量筒中呈半透明,无大块凝聚物存在即为终点。
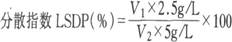
(四)计算
分散指数按(1)计算
 

[1][2][3][4]下一页>>
 相关信息 
  • 分享
  • 分享至腾讯微博
  • 分享至开心网
  • 分享至人人网
  • 分享至新浪微博
  • 分享至网易微博
  • 分享至豆瓣网
  • 分享至MSN
  • 分享至飞信空间
  • 打印该网页
  • 打印
 推荐企业
 推荐企业
浙江锦峰纺织机械有限公司
 推荐企业
丝普兰喷气织机 润源经编
关于纺机网 | 网络推广 | 栏目导航 | 客户案例 | 影视服务 | 纺机E周刊 | 广告之窗 | 网站地图 | 友情链接 | 本站声明 |