注:所吸取的试样和檬准样的体积,可按试样和标准样的分散力范围调节。
分别吸取试样溶液l9ml、20ml和标样溶液l9ml、20ml、21ml。置于5只150ml烧杯中,加入规定量的蒸馏水,各加入快色素大红3RS溶液5.0ml,置于恒温水浴锅(或冷水浴)中,保持温度为(20±2)℃,分别取出置于磁力搅拌器上,在相同的搅拌速度条件下,一次加入硫酸溶液[c(1/2H2SO4)=0.50mol/L]4.0ml,搅拌2min,取下静置备用。
3.滤纸扩散渗圈的滴定操作
把两张滤纸以经纬向呈90。交叉重叠置于有机玻璃和玻璃板之间,用1.0ml移液管自烧杯中部吸取l.0ml测定液,逐滴滴于有机玻璃板中心的小孔中。测定液逐滴向四周扩散,形成中间为红色的渗圈和外圈的水圈,当最后一滴测定液渗入滤纸后,用秒表计时间,2min后把滤纸取出,立即用铅笔划出红色渗圈区的最长直径Dl,并在垂直于Dl方向划出直径D2(如图2),将滤纸晾干。
图2滤纸扩散圈的长直径和垂直直径画法
.jpg)
(四)计算及评定
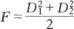
1.F值的计算
F值为渗圈的平均扩散面积参数,单位为mm2。用不锈钢直尺准确量红色区的D1和D2值。F值按式(4)计算
![]()
(4)
式中 D1——红色渗圈区的最长直径,mm;
D2——红色渗圈区与最长直径呈垂直方向的直径,mm。
通过计算可得出5个F值,即
F1——分散剂试样溶液用量为19ml的F值;
F2——分散剂试样溶液用量为20ml的F值;
F3——分散剂标准样溶液用量为19ml的F值;
F4——分散剂标准样溶液用量为20ml的F值;
F5——分散剂标准样溶液用量为21ml的F值。
要求所测得的F值分档清,即F2>F1、F5>F4>F3作为计算依据。
2.分散力值的计算
把试样的Fl值分别与标样的F3、F4、F5值比较,若接近于F3值,则试样的分散力值Pl按式(5)计算
![]()
(5)
若接近于F4值,则试样的分散力值Pl按式(6)计算
![]()
(6)
若接近于F5值,则试样的分散力值Pl按式(7)计算
![]()
(7)
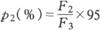
同样,把试样的F2值分别与标样的F3、F4、F5值比较,若接近于F3值,则试样的分散力值按式(8)计算
![]()
(8)
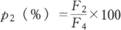
若接近于F4值,则试样的分散力值P2按式(9)计算
![]()
9)
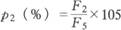
若接近于F5值,则试样的分散力值P2按式(10)计算
![]()
10)
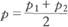
本方法P1与P2值的绝对差值应小于5%,若Pl与P2值的误差在允许范围内,则取其算术平均值作为试样的分散力,即式(11)
![]()
(11)
若P1与P2值的误差大于本方法的允许误差,则需重新测定。
3.分散力的评定
若试样的分散力为(100±1)%,则评定为100%;
若试样的分散力为(105±1)%,则评定为105%:
若试样的分散力在101%~l04%之间。则评定为l00%~105%。其余以此类推。若试样的F值不在标准样的F值范围内,则应调整试样溶液的用量(体积)重新配制试样进行液滴的测定。
相关信息 







推荐企业
推荐企业
推荐企业