2007年,Huntsman公司将其近几年研究成功的新一代活性染料NovacronNC系列推向市场,共有4个品种———Novacron黄NC、棕NC、橄榄绿NC和灰NC。
用其拼色后,主色调覆盖蟹青色、橄榄绿、灰、棕、卡其色和米色等。以前,这些色调的连续轧染一般选用还原染料,因为还原染料有一系列的橄榄绿、棕、黄和卡其色可供选择,因此色调容易获得。但是,还原染料悬浮体轧染工艺比较复杂,应用不如活性染料方便。对于以上这些素暗色调,通常采用活性染料三原色拼色,但染色重现性差,很难掌控。NovacronNC弥补了这一缺点,可用于冷轧堆工艺和连续轧烘蒸工艺,也可用于针织品纱线浸染。
NovacronNC的“NC”是“NonContrasting”的缩写,意思是“无反差”。橄榄绿、灰色、米色和矿物颜色过去采用传统活性染料三原色拼色,往往由于染色参数的影响,会出现色相偏差。使用NovacronNC拼色,染色参数稍作改变,如染料浓度、pH值、电解质等,即可得到具有与传统活性染料三原色拼色相同的色位。传统活性染料的色相差和色度差都要超过0.5,而Nova-cronNC的色相差和色度差都在±0.5之内。一般,色相和色度偏差值在±0.5以下,肉眼不易察觉,从而改善了染色重现性,提高了染色布正品率。
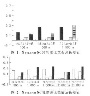
NovacronNC的“无反差”,在轧染中的头尾色差问题中得到体现。随着轧染运转的进行,往往会发生前后深浅不一,色变不断变化,尤其是染浅色品种,而NovacronNC在冷轧堆工艺和轧烘蒸工艺中头尾色相变化很小。例如浅米色染色配方如下:
Novacron黄NC/(g/L) 0.36
Novacron棕NC/(g/L) 0.20
Novacron橄榄绿NC/(g/L) 1.23
(1)图1为冷轧堆工艺的丝光棉染色,以100、500、1500m与20m起始染色作为标样进行比较:深浅偏差ΔL<0.3,红绿偏差Δa<±0.1,黄蓝偏差Δb<0.1,色差ΔE<0.5,说明头尾无反差。
(2)图2为轧烘蒸染色工艺连续运转中色相的变化,显示在500、1000、1500、2000、2700m与10m作为标准色相的对比:ΔL、Δa、Δb、ΔE均小于0.5,也说明头尾无反差。
.jpg)
Novacron的各项牢度性能非常优良,数据如下:日晒牢度 按照ISO105-B02—1994《纺织品色牢度试验耐人造光色牢度氙弧灯褪色试验》测定,牢度达5~6级汗光牢度 耐酸、碱汗牢度可达4~5级氧化漂白 Marks&SpencerC10A,达4~5级耐洗涤牢度 50℃下洗涤20次,达4~5级耐氯牢度 ISO105-E03《纺织品色牢度试验:耐氯水色牢度》,有效氯20mg/kg时,达4级NovacronNC染色后经后整理,如潮交联树脂、防水、防沾污、起毛起球酶洗等,不会引起大幅度色相变化,也不会发生光致变色。
[1][2]下一页>>
相关信息 







推荐企业
推荐企业
推荐企业