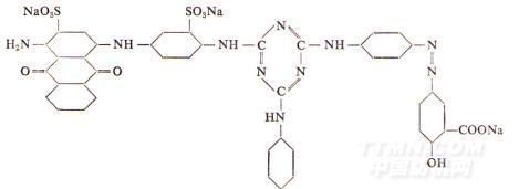
直接耐晒绿5GLL是具有蒽醌结构的三聚氰胺类单偶氮化合物,结构式(C.I.14155)为:
.jpg)
这些燃料除具有较好的日晒牢度外,如用硫酸铜进行后处理,可提高湿处理牢度。
三、二噁嗪染料
直接染料有比较鲜艳的蓝色。这些染料的主要特点为耐光牢度特别良好,以及不为保险粉(低亚硫酸钠)或(次硫酸氢钠-甲醛)所破坏。
例如,直接耐晒艳蓝FF2GL结构式(C.I.51300)为:
.jpg)
这些燃料日晒牢度都很好,是直接染料少有的品种,但洗涤牢度较差,是其不足之处,所以最适用于洗涤次数较少而经常暴晒与阳光中的织物的印染。
四、酞菁系直接染料
具有酞菁结构的直接染料是铜酞菁的衍生物,色泽艳亮纯正,有极佳的耐晒牢度。
由于酞菁染料分子结构不是平面直线构型,所以对纤维的而直接性较差,染色性能不及偶氮染料,染色分子大,上色慢,只有在染色中加入较多的元明粉,并在沸染的条件下才能透染。当用在拼色时,如与某染料中上染速率不一致,可采取先后加染料的措施予以改善。染后在进行水洗和固色的操作中,也要注意发生“流色”现象。
例如,直接耐晒翠蓝GL结构式((C.I.74180)为:
.jpg)
相关信息 







推荐企业
推荐企业
推荐企业