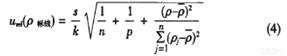
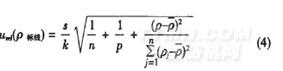
其中,A为测量值,Â为拟和值,(A-Â)为所得残差.对同一样品进行3次测量,由曲线求得甲醛质量浓度为:p=0.53 ug/mL.由曲线拟和引起的相对不确定度urel(p标线)如式
.jpg)
式(4)中,s为残差标准差;k为曲线斜率;n为标准溶液测试次数;p为样品测试次数;p为样品通过曲线求得的质量浓度,ug/mL;p为标准溶液质量浓度平均值,ug/mL;p为标准溶液第J次测试结果,ug/mL,将相应数值代入式(4)后,得:
.jpg)
4.3样品处理的不确定度urel(m)和urel(v)
样品处理(按1.2)引入的相对不确定度主要包括称量样品使用天平引人的相对不确定度urel(m)和样品萃取加水时使用量筒引入的相对不确定度urelv).称量样品所用电子天平计量检定证书上给出的
扩展不确定度U=O.6 mg,k=2.样品称样量为1.00 g(精确至0.0l g),则称量样品所用天平引入的相对不确定度为:
![]()
100 mL量筒的允许误差为±0.50 mL,则样品萃取时加水量筒引入的相对不确定度为:
![]()
4.4重复性测量引入的不确定度urel(ƒrep)
对一样品重复测试6次,结果依次为:52.7、52.2、53.5、53.3、52.8、51.8 mg/kg。可得测量结果平均值w:=52.7 mg/kg,平均值的试验标准差:
.jpg)
5 合成不确定度和扩展不确定度
<<上一页[1][2][3][4]下一页>>
相关信息 







推荐企业
推荐企业
推荐企业