双氧水是一类优良的氧化型漂白剂,因具有漂白产品纯正、白度稳定性良好、没有污染、不腐蚀设备等优点,所以广泛用于纤维素纤维及其他纤维的漂白。双氧水漂白的作用机理至今仍未形成定论,尚在探讨之中,为大多数业界接受的有两种说法,即:过氧化氢像弱酸一样,在碱性介质中离解为过氧化氢负离子。
H2O2+OH≒HOO-+H2O
过氧化氢负离子又是一种亲核试剂,具有引发过氧化氢形成游离基的作用。
HOO-+H2O2≒HOO·+HO·+OH-
两者都有较高的活性,可使色素氧化分解而产生漂白作用。但是,双氧水分解产物很复杂,远非上述反应简单,真正起漂白作用的有效成份是其中一部份,甚至相当少的一部分,大部份是无效分解。加入稳定剂以控制由于重金属离子催化作用促使双氧水分解,目的是降低无效分解,提高双氧水利用率。但是常用稳定剂中,水玻璃分解率,AR-750 13%,Prestogen EB 16%,都要在95℃时漂白,利用率仍不高。因此,提高有效分解率,降低无效分解,并使漂白温度下降是目前国内外研究开发的热点。
有人发现用乙酸或乙酸酐在浓硫酸催化下与过氧化氢反应得到过氧乙酸,由于它的活化能比双氧水低,而氧化电位比双氧水高,可以在较低温度下活化,可以低温漂白,而氧化能力却高于双氧水[1, 2]。
但是,过氧乙酸不能受热,加热至110℃,将引起爆炸,在上式反应中的生成物过氧乙酸与未反应的乙酸生成具有高度爆炸性的过氧化二乙酰(Diarylperoxide)。
.png)
过氧乙酸一直未能确立其工业化生产可能是上
述因素所致。由此启发,通过酰氯或酸酐将酰基接枝在含氮,含氧或含硫的化合物上,其生成物在双氧水存在下生成过酰基化合物,即过氧羧酸化合物,同时分离出离去基。因过羧酸的漂白活化能低,分解物中含有发生漂白作用的成份多,使双氧水的利用率大大高于双氧水,而起到漂白活化作用,同时能使漂白温度降低[3-6],并减少纤维在高温和高碱条件下的损伤程度。
很多家用洗涤剂中加入过硼酸钠或过碳酸钠活性氧漂白剂,为强化低温漂白效果,还加入漂白活化剂四乙酰乙二胺(TAED)或壬酰氧基苯磺酸钠(NOBS),已在欧美广泛使用。漂白活化剂能与过氧化氢负离子(HOO-)作用生成漂白能力明显强于双氧水的过氧羧酸,从而使洗涤剂具有较好的低温漂白能力[8]。
用于氧漂的活化剂与家用洗涤剂中施加的漂白活化剂完成相同,按照它们的发展历程有以下一些品种:四乙酰基乙二胺(TAED)、壬酰氧基苯磺酸钠(NOBS)、N 4-(三乙基铵甲撑)苯酰基己内酰胺氯化物(TBCC)、6 N,N,N-三甲基铵甲撑己酰基己内酰胺对甲苯磺酸(THCTS)和甜菜碱氨基腈氯化物(BAN)等。
1酰氨基类化合物活化剂
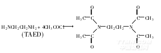
这类化合物的代表性品种为四乙酰基乙二胺(Tetra Acetryl Ethylene Diamine, TAED) (CAS, NO,10543-57-4),是第一代商业化的漂白活化体, TAED无毒性、生物降解性好、合成工艺简单、性价比高,但其水溶性不高,略有气味,最佳有效温度60℃~70℃。TAED是由乙二胺与乙酰氯反应而得。
.png)
在较低温度和碱性条件下,TAED遇到过氧化阴离子生成具有更强漂白活性的过氧乙酸阴离子。
.png)
过氧乙酸的氧化电位很高,仅次于臭氧,高于其他常用漂白剂。它们分别为:过氧乙酸(1·81ev. ),臭氧(2·07ev. )、过氧化氢(1·33ev. )、次氯酸钠(1·36ev. )、二氧化氯(1·57ev. )。
[1][2][3]下一页>>
相关信息 







推荐企业
推荐企业
推荐企业