.png)
同时还可能产生TBCC的水解和二酰化反应,得到的N-4-三乙基铵甲撑苯甲酸和过氧化二酰化合物,都没有漂白活化作用,以上两反应都是在pH下降的情况下产生的,TBCC活化最佳pH值是11.6。
.png)
THCTS的过氧化反应和2个副反应与TBCC相同。
上述4个过氧化物活化剂(TAED、NOBS、TBCC、THCTS)的分子结构中都存在羰基。羰基中由于氧的负电性高于碳,电子云密度趋于氧原子,碳原子处于缺电子状态(部分负电荷),遂与HOO-产生亲核加成反应,去除离基后生成过氧化有机酸。反应如下:
.png)
该反应的难易取决于活化剂的羧基碳原子的正电负性和离基的性质,比较以上4个活化剂的羧基,显然季铵盐型阳离子的缺电子性和己内酰胺羧基吸电子性影响,羧基碳原子的正电负性最大;其次是NOBS受苯磺酸吸电子性的影响,酰氧基碳原子的正电负性也较大;而TAED羧基碳原子的正电负性最小。
其次是离基离去的难易取决于获取电子的能力大小,它们的次序根据电负性大小应该是:
己内酰胺>对羟基苯磺酸钠>二乙酰基乙二胺
由此可以得出结论,它们的活性次序是: TBCC(THCTS)>NOBS>TAED。
由于TBCC和THCTS是阳离子型活化剂,在漂白液中呈阴离子性的纺织品(水中纤维表面电荷(pH7时),棉-26mv,粘胶-29mv,羊毛-47mv,蚕丝-28mv)有较强的吸附。它们既是漂白活化剂,又是阳离子型活化剂,与NOBS相比,活化能力更强。用于冷轧堆漂练时可由24小时缩短到4~6小时。在双氧水热漂工艺中,温度可以降低,白度比常规漂白还好,有利于节能;因为在与常规工艺同为95℃漂白时,碱浓度可以降低,尤其适用于对碱剂敏感的纤维,如:Tencel、氨纶、羊毛等及其与棉混纺织物。
应用上述过氧有机酸活化剂时,还应添加适量的金属螯合剂,如二乙烯五甲叉膦酸(DTPMP),目的是防止HOO-离子被重金属离子催化分解,起到稳定作用。过氧有机酸活化剂的固态比较稳定,而它们的水溶液不如固态稳定,因此只能用固态存放,不宜预先配成溶液,必需应用前进行溶解配制漂液。
4甜菜碱衍生物两性型活化剂
开发节能型漂白活化剂
2012-05-14 来源: 陈荣圻 点击次数:94
关键字: 漂白活化剂;酰基类活化剂;甜菜碱类活化剂;节能型
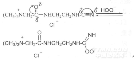
TBCC和THCTS等季铵盐类阳离子型活化剂的阴离子过氧酸也是一种两性型活化剂。北京工商大学化学与环境工程学院刘云等人提出甜菜碱氨基腈化合物(BAN)活化剂[17],它由甜菜碱通过二氯亚砜酰氯化后与氨基乙胺腈反应,得到甜菜碱酰胺乙氨基腈氯化物,属季铵盐类阳离子型化合物。反应如下:
.png)
含酰基的TAED、NOBS、TBCC和THCTS的漂白活化机理都是过氧化氢阴离子对酰基碳原子发生亲核取代反应,生成过氧羧酸。关键是过氧化氢阴离子的亲核试剂对酰基碳原子的进攻需要较高的能量。
上述甜菜碱衍生物因引入氰氨基,亲核试剂过氧化氢阴离子进攻不太稳定的三键氰基,生成活性很强的亚胺过氧酸阴离子,使该化合物具有更高的活性。反应如下:
.png)
从分子结构式看有酰基碳原子和氰基碳原子两个亲核试剂进攻点,但更倾向进攻氰基,而且不存在离基的离去而生成亚胺过氧化酸阴离子。酰基碳原子相对进攻较难,既有大分子离基离去,又有空间障碍存在。
因此该化合物较前述四述漂白活化剂的活性更大,可能在更低温度和缓和条件下漂白去污。
5结语
TAED、NBOS、TBCC、THCTS和BAN分别为非离子型、阴离子型、阳离子型和两性型漂白活化剂,它们的活化程度和对织物的亲和力不同,产生漂白的效果也不同。
pH值对活化性能和漂白去污效果有很大影响,各种活化剂对pH值要求不同。由于形成过氧有机酸的同时,其离基留存于漂液中,尤其是TAED和NBOS的离基呈酸性,将使漂液pH值下降,使活性降低,控制pH值非常重要。
以上4种漂白活化剂与传统双氧水漂白工艺相比,可使冷轧堆工艺堆放时间缩短到8小时或更短些;热漂工艺温度可由95℃以上降到70℃,或更低些;在常规工艺相同温度和时间条件下,可以适当减少碱剂用量;由此提高了漂白织物的强力和棉纤维的聚合度,减少了纤维的损伤。总之,可节约能源,缩短工时,提高产品质量。但是存在一些问题需待进一步研究。
(1)有机过氧酸漂白机理至今处于研究的初级阶段,实际上双氧水漂白机理虽已有数十年的研究历程,至今仍没有一个公认的漂白机理。而这两种漂白机理是完全不同的。
(2)如何控制好活化剂与双氧水之间的反应。例如TBCC在双氧水和烧碱存在下有三种可能的反应,即:TBCC与HOO-,水解和二酰化反应,后2种反应是不希望出现,应减少到最低程度。
(3)活化剂和双氧水的摩尔比,例如1摩尔TAED(216g)和2摩尔H2O2(68g)反应,生成活化剂,TAED用量是100%双氧水的三倍,如此才能发挥漂白活化作用。但是漂白活化剂很贵,最便宜的TAED,市价也在32元/公斤左右,其他漂白活化剂更贵,所以严重影响加工成本。TAED国内已在上虞生产;NBOS在中山汉科精细化公司试生产成功,国外P&S已供应市场。
<<上一页[1][2][3]
相关信息 







推荐企业
推荐企业
推荐企业