仪器 H-600型透射电子显微镜,纳米粒度仪、Ze-ta电位分析仪(英国马尔文仪器有限公司), DC-RRY1000型电脑测控柔软度仪,YG(B)541D型全自动数字式织物折皱弹性仪,YQ-Z-48B型荧光白度仪
1.2 硅乳的制备
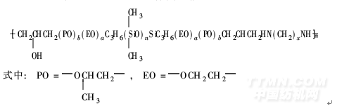
1取20 g嵌段型聚醚氨基硅油BPEAS, 6 g脂肪醇聚氧乙烯醚AEO-3;室温搅拌混和均匀,再加入适量醋酸,调节体系pH值至5. 5~7. 0,然后边机械搅拌边滴加去离子水,制成含固量为30%的透明状微乳———BPEAS硅乳。BPEAS的结构式如下:
.png)
1.3 硅乳物化性能测试及表征
1. 3. 1 物化性能测试[7, 8]
(1)离心稳定性 在15 mL离心试管内加入12 mL含固量为30%的BPEAS硅乳,放入离心沉淀器里,以3 000 r/min转速离心,每隔10、20、30、60 min观察一次,如果没有出现分层和漂油现象,则稳定性良好。
(2)稀释稳定性 在150 mL烧杯中称取1. 0 g含固量为30%的BPEAS硅乳,分别加入29 g和59 g去离子水,稀释至含固量为1%和0. 5%,静置放置一周,如果没有出现分层和漂油现象,则稳定性良好。
(3)耐弱酸碱稳定性 在150mL烧杯中称取10 g含固量为30%的BPEAS硅乳,分别加入0. 5 mL醋酸溶液和0. 5 mL碳酸钠溶液,静置放置一周,如果没有出现分层和漂油现象,则稳定性良好。
1. 3. 2 乳胶粒子的形态
用去离子水稀释BPEAS硅乳液至含固量为0. 1%,经0. 5%磷钨酸染色后,用H-600型透射电子显微镜观察、拍照。
1. 3. 3 粒径分布及ζ电位
用去离子水稀释BPEAS硅乳液至含固量为1. 0%,用纳米粒度仪及Zeta电位分析仪测定粒径分布及ζ电位。
1.4 整理与测试
1. 4. 1 整理工艺
取含固量30%的BPEAS硅乳液,用水按比例稀释即BPEAS乳液∶水=1∶100(质量比),配成整理用工作液;将待处理的布样于上述整理液中一浸一轧进行整理,轧余率约70%;100℃烘燥5min,170℃定形3min。
1.4.2 性能测定
取BPEAS整理后的棉布样,在温度(20±2)℃和相对湿度65%±2%条件下平衡24 h,然后进行性能测试。
(1)柔软性 以弯曲刚度表示,用DC-RRY 1000型电脑测控柔软度仪测定。弯曲刚度越小,柔软性越好。
(2)折皱回复角 用YG(B)541D型全自动数字式织物折皱弹性仪测定。
(3)白度 用YQ-Z-48B型荧光白度仪测定。
(4)吸水性[9] 用标准滴管(25滴/mL)从距离织物2 cm高度处向水平铺展的织物表面滴1滴水,测定在静态情况下,织物吸收完1滴水所用的时间。
2 结果与讨论
2.1 硅乳物化性能测试
按1. 3. 1节方法测试已制得的BPEAS硅乳液的各项物化性能。结果表明,用1. 2节方法制得的含固量为30%的BPEAS硅乳液离心稳定性、稀释稳定性、耐弱酸碱稳定性较好。
2.2 硅乳性能表征
按1. 3. 2和1. 3. 3节方法观察BPEAS硅乳液的形态,测定其粒径分布及ζ电位,结果如图1、图2所示。
.png)
硅乳的粒径及其分布会影响乳液的稳定性和渗透性。粒径细小的硅乳,抗剪切稳定性高,渗透性强,易扩散至棉纤维内部。由图1可见, BPEAS中乳胶粒均呈较规则球状,分散性良好。平均粒径仅为98. 8 nm,基本呈正态分布,且分布较窄。
.png)
图2中,BPEAS硅乳粒子ζ电位为+73. 03mV,表面带正电的乳胶粒间的静电排斥有利于乳胶粒的稳定,可提高硅乳在使用过程中的抗剪切稳定性以及硅乳的贮存稳定性。此外,表面带正电的乳胶粒更易与棉纤维表面的OH-很好地静电结合,增加乳液在棉纤维表面的附着,从而提高了整理效果。
2.3 乳化剂对硅乳稳定性的影响
乳化剂用量会影响硅乳液的粒径,进而影响其稳定性。以非离子型脂肪醇聚氧乙烯醚AEO-3为乳化剂,对相同黏度和氨值的嵌段型聚醚氨基硅油BPEAS进行乳化,研究乳化剂用量对硅乳液稳定性的影响,结果见表1。
<<上一页[1][2][3]下一页>>
相关信息 







推荐企业
推荐企业
推荐企业