在电场作用下,电荷在材料中定向移动而产生电流的特征称为材料的导电性质。
纤维导电性指标:比电阻(specific resistance)。
各种物质的电阻与其长度成正比,与其横截面积成反比,并和温度有关。
比电阻是其长度和横截面积各为一单位时的电阻。
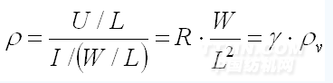
①体积比电阻ρv(Ω•cm):指单位长度上所施加的电压U,相对于单位截面上所流过的电流I之比,也叫电阻系数或电阻率。
.png)
②表面比电阻ρs(Ω):单位长度上的电压(U/L)与单位宽度上流过的电流(I/H)之比。
.png)
③质量比电阻ρm(Ω•g/cm2):单位长度上的电压(U/L)与单位线密度纤维上流过的电流(I/(W/L))之比。一般纺织纤维质量比电阻的对数值在7以下为好。
影响纤维比电阻的外部因素
回潮率:纤维吸湿后导电性能有所改善,比电阻下降。
温度:温度升高,纤维和杂质等电离的电荷数增多,纤维的体积增大,比电阻下降。
纤维上的附着物:棉纤维的果胶杂质、羊毛的脂汗、蚕丝的丝胶、化纤的抗静电剂的油剂。
其他因素:电压高低、测定时间长短和使用的电极材料等。
纤维的介电性质
介电现象:是指绝缘体材料(也叫电介质)在外加电场作用下,内部分子形成电极化的现象。
衡量介电现象强弱的物理量为介电常数ε。在电场中,由于介质极化而引起相反电场,将使电容器的电容变化,其变化的倍数称为介电常数。
[1][2]下一页>>
相关信息 







推荐企业
推荐企业
推荐企业